Design and Development of Modern Lenses using Mechatronic Principles

Krzysztof Holak1, Hubert Adamczyk2, Daria Kawka2 and Piotr Paruch2

 

 1AGH University of Krakow, Krakow, Poland

2Q Media Renata Adamczyk, Krakow, Poland

Academic Editor: Waldemar Woźniak

Cite this Article as:

Krzysztof Holak, Hubert Adamczyk, Daria Kawka and Piotr Paruch (2026)," Design and Development of Modern Lenses using Mechatronic Principles ", Communications of the IBIMA, Vol. 2026 (2026), Article ID 185470, https://doi.org/10.5171/2026.185470

Copyright © 2026. Krzysztof Holak, Hubert Adamczyk, Daria Kawka and Piotr Paruch. Distributed under Creative Commons Attribution 4.0 International CC-BY 4.0

Abstract

This paper presents a mechatronic approach to the design and development of modern photographic lenses, integrating optical, mechanical, and electronic engineering principles. The research focuses on the conception, simulation, prototyping, and validation of the IRIX f = 30 mm photographic lens for DSLR cameras. Advanced computational tools, including Keysight Code V and LightTools, were employed for optical modeling, ray tracing, and performance optimization. The optical system was iteratively refined to minimize aberrations and achieve optimal image quality. Simulation results indicated an effective focal length of 29.79 mm, a lens speed of f/1.45, and a resolution exceeding 50 LP/mm across the full image field, with geometric distortion below 1.1%. Experimental validation through laboratory and field tests confirmed high central sharpness (up to 60 LP/mm), low chromatic aberration, and strong flare resistance under varying illumination. Mechanical and electronic innovations such as an 11-blade diaphragm, Focus Lock, and Infinity Click mechanisms enhanced operational precision and user ergonomics. The integrated PCB-based control system ensured full camera communication and aperture management. The study demonstrates the effectiveness of a multidisciplinary, simulation-driven workflow for translating virtual optical designs into verified physical prototypes. The results provide a replicable design framework for high-performance lenses and address an identified market gap in medium focal-length, high-aperture optics suitable for professional photography and industrial inspection.

Keywords: photographic lens design, optical systems design, optical systems simulation.

Introduction

The design of modern photographic lenses is a multidisciplinary endeavor that requires collaboration among experts from various fields of science and engineering. At present, this process is strongly supported by advanced CAD software. Representative examples include Keysight (Synopsys) Code V and LightTools (Shieh and Min-Nen, 2011), which enable numerical simulations of light ray propagation within the lens focusing system. By integrating the results of such computational experiments with modern computer graphics, it becomes possible to generate photorealistic synthetic scenes that reproduce optical phenomena such as reflections and light scattering on lens elements. Another important aspect of contemporary design is weight reduction. This issue has become particularly significant in connection with the increasing deployment of vision measurement systems on satellites (Jo et al., 2015) and unmanned aerial vehicles (UAVs) (Gurtner et al., 2009). These systems not only provide photographic documentation but also deliver valuable diagnostic data, for example, the detection of cracks in civil engineering structures or measurements of structural deflections under applied loads (Kapoor et al., 2021, Zhou et al., 2023). High-quality optics are essential in such applications, while decreasing lens mass permits the integration of additional sensors on board, thereby expanding measurement capabilities. Market analyses further emphasize the relevance of such innovations. According to the most recent Camera & Imaging Products Association Report (CIPA, 2023), the photography equipment sector experienced a notable recovery in 2022 after the pandemic, with production values increasing by 23% and shipment values rising by 39%—in some regional markets by as much as 50–60%. The Photography Equipment Market: Global Outlook & Forecast 2020–2025 (TPEMGO&F, 2022), published in August 2022, projects that 3% of the upcoming growth will originate from the Middle East and Africa, with expansion in these regions expected to outpace that of Europe and North America. A competitive analysis revealed a gap in the market for photographic and cinematographic lenses with focal lengths in the 20–22 mm range and apertures near f/1.4. The authors identified an opportunity to address this gap with high-performance products offering strong functional characteristics. Consequently, the project focused on designing mechanical, electronic, and optical components for innovative IRIX series lenses, specifically a 21 mm (photo and cinema) and a 30 mm (photo) focal length. The design work was carried out with an emphasis on optimizing existing elements of the Blackstone line previously developed by the authors. As a key case study, the paper presents detailed results of the design process along with numerical simulations and laboratory evaluations of the IRIX 30 mm photographic lens.

Development of a Photographic Lens Prototype – A Key Study

During the design phase and numerical simulation of the optical path, an iterative cycle was employed consisting of ray tracing, evaluation of results, modification and refinement of lens geometry, followed by repeated ray tracing. Within this process, computational tools systematically adjust key parameters of each optical component, including surface curvature, element thickness, spacing between lenses, and material properties. Through successive iterations, the procedure converges toward an optimal configuration in which optical aberrations are minimized.

Optical system design and numerical simulation of IRIX f = 30 mm photographic lens

The subsequent sections of this paper present the outcomes of numerical simulation studies. Within the project, the Keysight (Synopsys) Code V software was employed for optical system design, in combination with LightTools for illumination modeling (Keysight, 2023). The qualitative evaluation of photographic lens designs was performed under the assumption of focusing at infinity, enabling direct comparisons between alternative configurations. During the research, multiple variants of the optical system were developed and examined. From these, the solutions most consistent with the initial design requirements were selected for detailed analysis. The optimal configuration obtained for a 30 mm focal length lens is presented in Figure 1. This system comprises 13 individual elements, including one aspherical lens, arranged in three groups. The configuration shown corresponds to an optical system focused at infinity.

Focal length

In accordance with standards commonly applied in the photographic industry, deviations of the effective focal length (EFL) from the nominal value are permissible up to approximately 5%. Simulation of the optical system under the condition of focusing at infinity, performed using Code V software, yielded an effective focal length of 29.79 mm. The focal lengths values obtained for various focusing distances are summarized in Table 1.

Table 1. Result of simulation tests of the 30 mm optical system. Focal length measurement.

 

Fig. 1. The optical system of designed IRIX photographic lens f = 21 mm.

 

Lens speed

The lens speed of the optical system was determined for various focusing distances using the Code V software, and the results are presented in Table 2. The simulations indicated a lens speed of f/1.45. The deviation between the simulated value and the nominal specification is smaller than the resolution of a standard photographic light meter, which is approximately 0.3 aperture stops.

Table 2. Numerically determined aperture values for selected focusing point distances.

Resolution

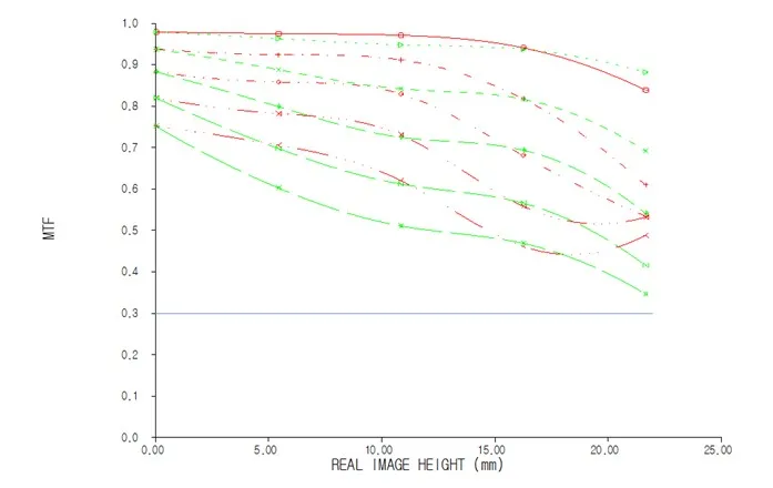
The resolution of the proposed optical system was evaluated through simulations conducted in the Code V software. The outcomes are presented in Figure 2, which illustrates the modulation transfer function (MTF) as a function of image height for different field positions relative to the optical axis. Separate MTF curves were generated for sagittal and tangential (radial) orientations, with the averaged values used to determine the effective resolution expressed in line pairs per millimeter (LP/mm). The results demonstrate that the design achieves a resolution exceeding 50 LP/mm across the full image field.

 

Fig.2. Plot of the optical resolution of the system as a function of MTF

Lens transmittance

In the design of optical systems for photographic applications, light transmission losses of approximately 14% are typically observed. These losses arise from the intrinsic properties of lens materials and the limitations of available anti-reflective (AR) coating technologies. The theoretical transmittance of a lens can be estimated using equation (1),

                                   

where T denotes lens transmittance, f represents the lens speed, and t corresponds to the cumulative transmittance of the optical elements. Applying equation (1) to the 30 mm optical system yields a theoretical transmittance of T = 1.56, which, when rounded to one decimal place, corresponds to T1.6.

Lens optical distortion

Simulation results also provided an evaluation of the optical distortion of the system, as illustrated in Figure 3. Across the entire field, the overall distortion of the optical system was calculated to be 1.09% (-1.09%).

Fig.3. Aberrations and geometric distortion of the 21mm optical system.

Mechanical Parts Design

The initial design assumptions for the 30 mm lens specified a diaphragm composed of nine rounded blades. Subsequent technological advancements enabled the development of thinner elements and facilitated the implementation of a more sophisticated 11-blade diaphragm, a noticeably more circular aperture compared to the nine-blade design. The use of 11 blades offers two primary advantages: it enhances the aesthetic quality of out-of-focus highlights (bokeh) and it postpones the onset of diffraction effects at the blade edges across the full aperture range. The photography of the designed diaphragm is presented in Figure 4. The lens barrel follows the Dragonfly design concept (Holak, 2023, Holak, 2024). This approach prescribes the use of aluminum only for elements that require high mechanical strength and precise dimensional tolerances. Components that are subjected to minimal mechanical loads or serve primarily decorative functions are fabricated from high-impact-resistant materials. This strategy minimizes the use of aluminum and, consequently, reduces the overall weight of the lens.

Focus Lock mechanism and Infinity Click mechanism

The Focus Lock mechanism enables the user to secure the focus ring at a predetermined position, preventing unintended rotation and inadvertent changes to the focus plane. This solution, patented by Q Media (Holak, 2023, Holak, 2024), was initially implemented in the Irix 15 mm f/2.4 lens, subsequently refined in the Irix 150 mm f/2.8 and Irix f = 21 mm photographic and cinema lenses. The second-generation ring features a pressure element that moves along a curved path with a clearly defined rotation stop. The lens incorporates the innovative Infinity Click mechanism, developed and patented by Q Media as well. This mechanism provides tactile feedback to indicate when the focus ring has reached the “infinity” position. When the focus ring aligns with the infinity position, a triangular notch receives the ball, producing a perceptible click. The user can feel this engagement through the focus ring, providing a clear and reliable indication of the focus position.

Fig. 4. Photography of new generation 11-blade diaphragm.

Electronic and Control System Design

The electronic system was designed to integrate a printed circuit board (PCB) with a microprocessor located within the bayonet mount. This unit communicates with the camera body, transmitting information regarding the available aperture range and the nominal focal length of the lens. For the 30 mm lens, as in the previously developed lens models (Holak, 2023, Holak, 2024), the design specification required aperture control to be executed exclusively through the camera body, eliminating the need for a manual aperture ring on the lens. The actuation method is mount-dependent: in the Canon EF version, aperture control is performed by a stepper motor, whereas, in mounts such as Nikon F or Pentax K, control is achieved via a cam-driven mechanism and a mechanical actuator located on the camera side.

Experimental Tests

A comprehensive series of experimental evaluations was conducted, encompassing precise measurements of key parameters such as focal length, aperture value, aberration characteristics, aperture transmission efficiency, optical resolution, modulation transfer function (MTF), distortion, and color balance.

Laboratory test of optical resolution

The resolution performance of the 21 mm optical system was evaluated using a standardized test chart measuring 150 × 100 cm, which included seven rectangular measurement fields. These regions served as reference points for the Imatest Master software, which quantifies resolution by analyzing contrast attenuation at edges and provides results in line pairs per millimeter (LP/mm). Measurements were conducted with a Canon EOS 5DsR camera, equipped with a 50-megapixel sensor. The analysis of captured images demonstrated that the optical system achieved a resolution of at least 60 LP/mm at the image center. At the edge of the frame, the measured resolution decreased to 43 LP/mm. These results confirm that the lens provides high central sharpness, with a moderate but acceptable reduction in resolution toward the periphery of the image field.

Laboratory testing of geometric distortion

Optical distortion was evaluated using a 200 × 150 cm test chart containing a grid of tilted rectangles. To fully capture the test chart within the frame, the lens had to be positioned at 1.6 m from the target. To achieve a sharp image of the chart at f/16 while maintaining a focus setting close to infinity, the lens was focused at 9 m. Simulation studies indicated that, at an object distance of 2.2 m, the lens distortion was approximately –1.12%.

Laboratory examination of lens speed

For the determination of the effective lens speed, the in-camera light meter was used to measure the exposure difference with and without the lens attached. A Sony A7R IV mirrorless camera was employed for this purpose. The procedure involved illuminating the sensor with a uniform light source, provided by an LED panel positioned at a distance of 18 mm. Camera sensitivity and exposure time were adjusted such that the exposure compensation value equaled 0.0 EV. Subsequently, the Irix 30 mm f/1.4 lens was mounted on the camera, resulting in an exposure decrease of –1.84 EV. The measured change in exposure was calculated to correspond to a lens speed of f/1.44.

Operating Conditions Tests

A series of experimental tests of f = 30 mm Irix lens in the operating conditions have been carried out.

Chromatic aberration test

Chromatic aberration reduces the resolving power of a lens and produces purple-blue halos, particularly visible at the boundaries between bright and dark regions. To evaluate this effect, a chromatic aberration test was conducted. Representative photographs were acquired, showing the manifestation of chromatic aberration both within the focal plane and in out-of-focus areas. The analysis of these images indicates that the observed level of chromatic aberration is consistent with the expected behavior of a high-aperture lens (Fig.5).

Fig.5. Example of photographs taken for the chromatic aberrations’ analysis.

 

Image blur tests against a light and dark background

The blur assessment test against a uniform light background was conducted to evaluate the aesthetic quality of out-of-focus rendering. The procedure involves capturing images with the lens set at maximum aperture and subsequently with the aperture reduced, allowing the examination of the dependence of blur characteristics on aperture size. For the 30 mm photographic lens, test images were acquired across four aperture values ranging from f/1.5 to f/4.0. Fig. 6 presents representative results for f/1.5 and f/4.0.

Fig.6. Outdoor blur tests of a 21mm photographic lens, a) photo taken by a lens with the aperture set to f1.5, b)

photo taken by the same lens with the aperture values of f4.0

The blur assessment under night scene involves defocusing point light sources to analyze the geometry and uniformity of the resulting blur discs. For the 30 mm photographic lens, light-emitting diodes (LEDs) were used as test sources, simulating urban lighting conditions at night. As shown in Fig. 7, the defocused light discs exhibit a nearly circular form. Images captured at aperture values from f/1.5 to f/4.0 confirm the circular aperture geometry predicted in the simulation stage, made possible by implementing a higher blade count in the diaphragm design.

Fig.7. Studio blur tests with a 30 mm photography lens, a) photo taken by a lens with the aperture set to f1.5, b)

photo taken by the same lens with the aperture values of f4.0

Test of resistance to light reflections at night and during the day

Flare resistance testing was performed under both controlled studio conditions, using a strong artificial light source, and in field conditions under natural sunlight. The objective of this evaluation is to assess the effectiveness of anti-reflective coatings on lens elements as well as light-blocking coatings applied to the mechanical components. Results are shown for various positions of the light source relative to the optical axis (Fig.8). When the light source is either on-axis or positioned outside the frame, no noticeable flare is observed, and the lens maintains good image contrast. When the light source is located off-axis, greenish flare artifacts appear.

Fig.8. Studio tests of the glare resistance of a 30 mm photographic lens,

light source a) at the center, b) at the edge, and c) outside the frame.

Under natural daylight conditions (Fig. 9), flare effects are significantly less pronounced compared to studio settings. Based on both field and studio photographs, it can be concluded that the lens demonstrates good resistance to flare, and no corrective adjustments are required at the current stage of development.

Fig.9. Outdoor tests of the glare resistance a) at the center and b) at the edges of the frame.

Summary and Conclusions

The research successfully met its objective of designing, developing, and testing a modern 30 mm IRIX photographic lens using a mechatronic approach that integrated optical, mechanical, and electronic systems engineering. The design process utilized advanced simulation tools such as Keysight Code V and LightTools, enabling precise modeling of optical performance parameters, including focal length, lens speed, resolution, and distortion. Through iterative optimization of lens geometry and materials, the research team achieved a final configuration with 13 optical elements in three groups, providing excellent image quality and minimal aberrations. Simulation results were validated experimentally through comprehensive laboratory and field testing, confirming high resolution and low distortion. Additional tests confirmed satisfactory performance under various lighting conditions, demonstrating low chromatic aberration and good flare resistance. The implementation of an 11-blade diaphragm enhanced the circularity of out-of-focus highlights and reduced diffraction effects, while innovative mechanisms — Focus Lock and Infinity Click — increased precision, reliability, and user ergonomics. This study highlights the growing importance of mechatronic design principles in modern optics. By merging mechanical design, optical engineering, and electronic control, the project demonstrates how multidisciplinary methods can enhance both performance and manufacturability in high-end photographic lenses. The results contribute to current knowledge on how to efficiently bridge the gap between numerical simulations and real-world product validation, offering a replicable framework for optical design teams in both industrial and academic settings. Moreover, the work addresses a notable market gap in high-aperture lenses with medium focal lengths, directly responding to the increasing demand from professional and semi-professional photographers, as well as from applications in aerial imaging, industrial inspection, and remote sensing.

Acknowledgement

The research was conducted within the scope of the project POIR.01.01.01-00-0179/18 financed by the National Centre for Research and Development in Poland.

References

  • CIPA – Camera & Imaging Products Association Report on the World Demand Market On Full-Frame Fixed Focal Lenses (2023), Camera & Imaging Product Association in Japan., [online], [Last Accessed October 27th 2025], https://www.cipa.jp/e/index.html
  • Gurtner, A., Greer, D.G., Glassock, R., Mejias, L., Walker, R.A. and Boles, W.W. (2009) ‘Investigation of Fish-Eye Lenses for Small-UAV Aerial Photography’, IEEE Transactions on Geoscience and Remote Sensing, 47 (3), 709-721.
  • Holak, K., Adamczyk, H., Kawka, D. and Paruch, P. (2023) ‘Mechatronic approach in the design of modern photographic lenses’, Materials from a conference on Mechatronics: ideas for industrial applications, Manka, M., (ed), Krakow, 53–68.
  • Holak, K., Adamczyk, H., Kawka, D. and Paruch, P. (2024) ‘Projektowanie nowoczesnych obiektywów filmowych – ujęcie mechatroniczne’ (‘Design of modern video lens – a mechatronic approach’), Nowe trendy i perspektywy w rozwoju nauk inżynieryjno-technicznych, Vol 1, Mołdoch-Mendon, I., and Maciag, M., (eds), Lublin, Wydawnictwo Naukowe TYGIEL sp. z o. o., 194–211.
  • Jo, J., Hwang J.-H. and Bae J.-S. (2015) ‘Optical Design for Satellite Camera with Online Optical Compensation Movements, Journal of The Korean Society for Aeronautical & Space Sciences 43(3), 265-271.
  • Kapoor, M., Katsanos, E., Nalpantidis, L., Winkler, J. and Thöns, S. (2021) ‘Structural Health Monitoring and Management with Unmanned Aerial Vehicles: Review and Potentials’, Technical Report, Technical University of Denmark, Department of Civil Engineering.
  • Keysight Code V, Light Tools Software Solutions (2025), [Online], [Last Accessed October 27th 2025] https://www.keysight.com/us/en/products/software/optical-solutions-software.html
  • Shieh, J. and Min-Nen L. (2011) ‘Optical Design of Full View Lens based on Energy Luminance Analysis Chart of Stray Light’, International Journal of Engineering and Technology Innovation 1, 27-34.
  • TPEMGO&F – The Photography Equipment Market Global Outlook & Forecast 2020-2025 Report (2022), Global Growth Insights, [Online], [Last Accessed October 27th 2025], https://www.globalgrowthinsights.com/market-reports/photography-equipment-market-112990
  • Zhou, K, Wang Z., Ni Y.-Q., Zhang Y. and Tang, J., (2023) ‘Unmanned aerial vehicle-based computer vision for structural vibration measurement and condition assessment: A concise survey’, Journal of Infrastructure Intelligence and Resilience, 2(2), 1-15.

 

Shares