Theoretical Investigation of the Hydrogenated Aluminum Cobalt Clusters

Ling Guo

School of Chemistry and Material Science, Shanxi Normal University, Linfen 041004, China

Academic Editor: Juguang Han

Cite this Article as:

Ling Guo (2014), “Theoretical Investigation of the Hydrogenated Aluminum Cobalt Clusters”, Journal of Research in Nanotechnology, Vol. 2014 (2014), Article ID 850303, DOI: 10.5171/2014.850303

Copyright © 2014. Ling Guo. Distributed under Creative Commons CC-BY 3.0

Abstract

The chemisorptions of hydrogen on aluminum cobalt clusters are studied with density functional theory. The on-top site is identified to be the most favorable chemisorptions site for hydrogen, and the Al-top sites are the preferred one in the most cases for one hydrogen adsorption in AlnCo except for AlnCo (n=1, 4, 6, and 11) clusters. Top on the neighboring or opposition Al and Al atoms ground-state structures are found for two hydrogen adsorption on AlnCo. The Al-Co, Al-H and Co-H bond lengths evolve very slowly with cluster size; and there is a slight increase in the mean Al-Co bond lengths after H adsorption on the AlCo clusters. In addition, the nearly constant value for Co-H and Al-H bond lengths on different clusters suggests their similar nature of bonding of H. In general, the binding energy of H and 2H are both found to decrease with a decrease in the cluster size. The large binding energies of the hydrogen and the large HOMO-LUMO gaps for Al3CoH, Al15CoH and Al14CoH2 make these species behaving like magic clusters. Their stability is further suggesting by the fragmentation energies. 
Keywords: Hydrogenated aluminum cobalt cluster; electronic properties; Density functional theory.

Introduction

Bulk phase bimetallic systems provide a matter of increasing interest in pure and applied materials sciences and traditional fields of physics and chemistry (Lee et al. 2003; Singh et al. 2005; David and Sylvia 2006; Passacantando et al. 2006; Chen and Johnson 2008; Quyuan et al. 2008). In catalytic chemistry and chemical engineering, real catalysts mainly consist of a heterometallic or bimetallic system, which can profoundly enhance reactivity and selectivity (Bond 1987). Thus, to get a deeper understanding of the microscopic behavior of these species, the study of bimetallic or so-called alloy clusters provides a suitable tool, since cluster science enables one to investigate chemical and physical properties starting from a single atom or molecule toward bulk phase as a function of size. Therefore, in the last decades a number of studies of bimetallic clusters and diatomic molecules have been performed (Tian et al. 2008; Laguna et al. 2010; Zanti and Peeters 2010; Lu et al. 2011; Zhao et al. 2011).

Among the candidate systems to have been considered, the bimetallic aluminum cobalt clusters

That has been the topic of some experimental and theoretical studies (Koel et al. 1985; Nonose et al. 1989; Menezes et al. 1991, 1993; Behm et al. 1994). Several years ago, Nonose and co-workers (1989) performed chemisorptions reactivity studies of neutral AlnCom (n>m) and ConAlm (n>m) clusters toward H2 using a fast flow reactors. In that study, they found that the doping of Con clusters with only one Al atom reveals a remarkable increase of hydrogen chemisorptions rates compared to pure Con clusters. On the other hand, pure Aln clusters do not adsorb hydrogen, which is comparable to Al bulk phase behavior (Koel et al. 1985). Knickelbein and coworkers (1991, 1993) succeeded in a comprehensive investigation of the size dependence of ionization energies of these clusters. These ionization energies studies show that the electronic shell structure of AlnCo and AlnCo2 clusters remains similar to that of pure Aln clusters. Morse and co-workers (1994) have performed resonant two-photon ionization spectroscopy on small diatomic AlCo aluminides. Pramann and co-workers (2001) have measured the photoelectron spectra of small mass-selected aluminum-rich AlnCo- (n=8-17), and cobalt-rich ConAlm- clusters (n=6, 8, 10; m=1, 2) are measured at photon energies of 3.49 eV with the aid of a magnetic bottle photoelectron spectrometer.

Since the pioneering work of Knight et al. (1984) exhibiting a direct relationship between the pronounced peaks in the mass ion intensities (commonly referred to as magic numbers) of Na clusters and electronic shell closure, considerable theoretical and experimental work has been carried out to search for new magic numbers in compounds as well as charged metal clusters (1997). The electronic shell closure derived from the Jellium model dictates that metal clusters with 2, 8, 20, 40 … electrons are particularly stable as they correspond to complete filling of 1s, 1s1p, 1s1p1d2s, 1s1p1d2s1f2p … groups of orbital, respectively. As Al, Co, and alkali metal atoms exhibit free-electron-like behavior in their respective bulk phases, one would expect the atomic and electronic structure as well as relative stabilities of cobalt-doped aluminum clusters to exhibit the same behavior as those of alkali atom-doped aluminum clusters (1994). Since both clusters contain the same number of valence electron; for example, if clusters are born neutral, Al13Co cluster should exhibit enhanced stability (and, hence, a peak in the mass spectra) over their neighbors, as it would contain 40 valence electrons.

Against this background, the sequential growth of small AlnCo clusters with n=1-17 (Guo 2007, 2008) have been explored recently. And to obtain further insights on the nature of chemisorption of a single H2 molecule on AlnCo clusters, the extensive calculations of chemisorption of H2 and sequential hydrogen loading on the above energetically stable clusters are studied. A detailed picture of chemisorption of H2 on AlnCo (n=1-15) nanoclusters based on an analysis of energies, HOMO-LUMO gap, Stability, fragmentation behavior, and Bonding nature are presented. So, the understanding of the adsorption of H2 molecule on aluminum cobalt clusters could give useful insight on hydrogen interaction with other alloy clusters.

The paper is organized as follows: A brief account of the computational methodology is given in Sec. 2, followed by a detailed presentation and discussion of the first-principles calculations in Sec. 3 on small aluminum cobalt clusters with n=1-15 AlnCo and up to two hydrogen atoms. These will provide an understanding of the nature of interaction of hydrogen with aluminum cobalt clusters and the magic behavior of these clusters. A summary of my findings and conclusions are given in Sec. 4.

Methodology

All calculations are performed using the density functional theory (DFT) provided by the Gaussian 03 suite of programs (Frisch 2004). The density functional is treated with the generalized gradient approximation (GGA) corrected-exchange potential of the B3LYP (Becke 1993), and its application has been shown to be effective (Guo 2007, 2008). The double-ξ basis set lanl2dz is employed (Hay 1985). Frequency analyses at the optimized structures are carried out at the same theoretical level to clarify if the optimized structures are true minima or transition states on the potential energy surfaces of specific clusters. All of the obtained, most stable clusters are characterized as energy minima without imaginary frequencies. The geometries are fully optimized. The structures of small AlnCo (n=1-15) clusters are reported in my previous paper (Guo 2007, 2008).

Low energy structures may be missed if the starting configurations of the search are not set appropriately. In order to avoid this, ab initio simulations starting with several initial two-dimensional and three-dimensional structures are performed for each AlnCo adsorbate cluster. For simulating the adsorption process, different orientations of the molecules with respect to the AlnCo cluster are considered for optimization, and the H2 molecules and the AlnCo cluster are allowed to relax freely. To avoid computational bias, the cluster and H2 chemisorptions geometries are fully optimized without imposing symmetry constraints until the maximum force is less than 4.5×10-4 eV/Šand the maximum displacement is less than 1.8×10-3 Å.

The Binding energies (BE) of AlnCo and AlnCoHm are calculated based on eqs (1) and (2).

BE (AlnCo)=E(AlnCo)-nE(Al)-E(Co)                   (1)

BE (AlnCoHm)=E(AlnCoHm)-nE(Al)-E(Co)-mE(H)        (2)

where m and n represent the size of the clusters, E(AlnCo), E(AlnCoHm), E(Al), E(Co), and E(H) are energies of AlnCo, AlnCoHm clusters, and Al, Co, H atoms, respectively.

Results and discussions

Hydrogen on AlnCo(n=1-15)

The optimized geometries for the adsorption of one and two H atoms on small AlnCo(n=1-15) clusters are shown in Fig.1. In Table 1 and 2, the values of the binding energy, the HOMO-LUMO energy gaps, and the mean nearest-neighbor bond lengths of AlnCo(n=1-15) and AlnCoHm (n=1-15; m=1,2) clusters are displayed for all the isomers shown in Fig.1. For the chemisorptions of H2 on the AlnCo cluster, there are three possible adsorption sites: 1-fold on top, 2-fold edge, and 3-fold hollow site. The calculation result shows that the on-top adsorption configuration is energetically most stable.

Table 1: Binding energies (BE), and HOMO-LUMO gaps of various AlnCo clusters obtained using the B3LYP-DFT method. dAl-Co is the mean nearest-neighbor bond lengths between Al and Co atoms

The predicted ground-state spin multiplicity for AlCo is found to be a triplet. The calculated equilibrium bond length is 2.50 Å. The associated Al-Co stretching frequency for the ground-state cluster is 267 cm-1. It is seen that the BE of H on AlCoH (2.23 eV) is different to that of H on AlCo (5.58 eV). This shows that both AlCoH and AlCoH2 have different stability.

The ground-state Al2Co cluster is a spin doublet isosceles triangle with C2v symmetry and a binding energy of 3.52 eV. The ground state corresponding to Al2CoH cluster is a spin triplet with a Al-H bond length of 1.64 Š(Table 2) and an Al-H stretching frequency of 1751 cm-1, and the H atom takes on-top adsorption with the Al atom, which is different from the structure of AlCoH with 2-fold edge model. The BE of H on Al2Co is 6.22 eV. The C2v isomer [Fig. 1(2c)] with two H atoms bridging in two Al atoms is found for the most stable geometry of Al2CoH2 cluster. Other optimized geometries are also considered for this cluster, for example, occupied different places of Al and Co atom (2d) or two H atoms are located on top Al atoms (2e). None of them are more stable than the ground state structure.

 

Table 2: Binding energies (BE’s), structures, and HOMO-LUMO gaps of various clusters obtained using the B3LYP-DFT method. dAl-Co, dAl-H, and dCo-H, are the mean nearest-neighbor bond lengths between Al and Co atoms, Al and H atoms, Co and H atoms. Location of H is represented by symbols n, o, b, f, t, h which mean neighboring, opposite, bridge, farthest, top and hollow site, respectively

The ground-state Al3Co cluster is a spin triplet tetrahedron [Fig. 1(3a)] with C3v symmetry and a binding energy of 4.88 eV. Two optimized geometries are found for Al3CoH cluster, both of the same multiplicity, doublets. Interaction of H 1-fold on top of Al3Co [Fig. 1(3b)] with C1 symmetry is favorable as compared to a 2-fold edge site of Al [Fig. 1(3c)] with Cs symmetry by 0.40 eV. The BE is big (3.40 eV) that it is difficult to make further interaction with hydrogen atom. In order to confirm this, I carried out calculation on Al3CoH2. Three configurations for H are studied: (i) where two H atoms are on the top sites of two neighboring Al atoms [Fig. 1(3d)], (ii) where two H atoms are on the top site of one Al atom [Fig. 1(3e)], (iii) where one H atom is bridging with two Al atoms and another one with Co and Al atoms [Fig. 1(3f)] making the Cs structure as shown in Figs. 1(3d)-1(3f). The energy difference of the first two of these is 0.82 eV (Table 2). Also the Cs structure 3f lies 0.94 eV higher in energy than the 3d structure. The BE for 2H is 6.36 eV (Table 2) and it shows that the interaction between two hydrogens on Al3Co is not attractive. This energy is higher than the dissociation energy of H2 (4.60 eV). Accordingly, hydrogen is likely to be dissociated on Al3Co. The distance between two hydrogens on Al3Co in the lowest-energy state is 5.32 Šas compared to the bond length of 0.75 Šin H2. Therefore, two hydrogens are in a dissociated configuration. The dissociation can happen on a top site of Al3Co. Since there are several such sites, the probability for such a dissociative process is also high.

The ground-state found for Al4Co is a spin doublet pyramid (C4v) structure [Fig. 1(4a)] with a binding energy of 7.24 eV. The spin multiplicity found for Al4CoH is a spin singlet and its structure, different with small clusters above, prefers a top site of Co atom [Fig. 1(4b)] on it. In the case of two H on Al4Co, two H atoms on the top site of Al atom [Fig. 1(4c)] is the ground state, and the spin multiplicity is quartet. The structure with two H atom taking 3-fold hollow site on two Al and one Co atoms [Fig. 1(4d)] is 0.16 eV higher in energy. Both 4c and 4d geometries are with C2v symmetry.

Al5Co is a spin triplet structure [Fig. 1(5a)] with D3h symmetry. Similar to Al2Co and Al3Co, one H is most favorable on a top site of Al atom [Fig. 1(5b)], and it is with a binding energy of 0.36 eV stronger than that of the bridging between Al and Co atom adsorption [Fig. 1(5c)]. The BE (2.98 eV) of H on Al5Co is also one of the largest among all the clusters studied. Accordingly, Al5CoH should have large abundance. Two H favor top sites of neighbor Al and Al atoms [Fig. 1(5d)]. The BE of this isomer is 6.00 eV which is again quite large and slightly lower than the value for Al3CoH2. This should also make hydrogen dissociate on this cluster unless there is a barrier. Isomers with two H on different top sites of Al and Co atoms [Fig. 1(5e)] and the same Al atom have 0.30 and 0.42 eV higher energies, respectively.

For these small clusters the BE per H is high with n=1 and 5. And the addition of a second H increases nearly the same value of BE for n=2-5. On the other hand, for n=1, the addition of a second H increases the BE significantly. My calculations suggest that H2 is likely to be combining at least on AlCo small cluster and these clusters could disintegrate, such as AlCoH2, or combine with others to form energetically more favorable species.

The lowest-energy isomer of Al6Co is a capped triangular prism structure [Fig. 1(6a)] with C2v symmetry. Adsorption of single hydrogen on a top, edge or hollow site of Al atom or Co atom is considered. The BE (2.71 eV) of H on an edge site of two Al atoms of Al6Co [Fig. 1(6b)] is the smallest among all the clusters. The fragmentation energy (see below) is also small and this gives further support for the instability of Al6CoH. Accordingly, it may not have large abundances, and the structure (6c) with hydrogen on a top site lies 0.08 eV high in energy. For two hydrogen atoms on Al6Co, several configurations are studied. These include two opposite top of Al and Al atoms in the different triangle [Fig. 1(6d)], two neighboring top of Al and Al atoms in the same triangle [Fig. 1(6e)] and different triangle [Fig. 1(6f)]. The calculated BE’s given in Table 2. The most favorable adsorption sites are structure 6d. The two H have a similar configuration as in Al4CoH2. The BE for 2H is 5.32 eV and it shows that interaction between two hydrogen on Al6Co is not more attractive than clusters discussed above. However, this energy is also higher than the dissociation energy of H2 (4.6 0 eV). Accordingly, hydrogen is likely to be dissociated on Al6Co. The distance between two hydrogens on Al6Co in the lowest-energy state is very long as compared to the bond length of 0.75 Šin H2. Therefore, two hydrogens are in a dissociated on Al6Co. The dissociation can happen on a top site of Al6Co. Since there are several such sites, the probability for such a dissociative process is also high.

For Al7Co, the lowest-energy structure is a spin triplet with Cs symmetry [Fig. 1(7a)]. One hydrogen adsorption is favorable on the top of the headpiece Al atom [Fig. 1(7b)]. The BE (2.83 eV) of H on Al7Co is also one of the smallest among all the clusters studied. Isomers with H on the top site of capping Al atom [Fig. 1(7c)] and Co atom [Fig. 1(7d)] are 0.02 and 0.56 eV higher in energies, respectively. The small HOMO-LUMO gap is likely to make further interaction of hydrogen with this cluster energetically not so favorable. In order to confirm this, some calculations are carried out on Al7CoH2. Several initial configurations are considered for two hydrogens. These include H atoms on the top of two neighboring Al and Al atoms in the lower part of the Al7Co cluster [Fig. 1(7e)]. This has the lowest energy. The HOMO-LUMO gap is lower (1.93 eV) and the addition of one more hydrogen to Al7Co leads to a gain of 5.50 eV, an increase of more than 2.67 eV in the BE of H as compared to one hydrogen on Al7Co. The other calculated positions for two hydrogens on Al7Co are one on top of two distant Al atoms [Fig. 1(7f)] or two opposite Al atoms [Fig. 1(7g)]. The energy, the HOMO-LUMO gap, and other structural information are given in Table 2. The energies of the isomers [Fig. 1(7f, 7g)] are close to that of Fig. 1(7e), and their energy differences with 7e are 0.08 and 0.31 eV, respectively.

Al8Co has Cs symmetry [Fig. 1(8a)]. This structure can be very roughly decomposed into two interacting entities: structure Al4Co and Al4 are bridged with two Al-Co and Al-Al bonds. Similar to Al4Co, this cluster would be anticipated not to favor to react with one hydrogen; indeed, the BE of H is 2.57 eV similar to Al4Co of 2.24 eV. One H is favorable on a top site of Al atom in the top part of Al8Co [Fig. 1(8b)], and from now on, all the clusters later have the same geometry. Structure Fig. 1(8c) with H atom on a top site of another Al atom is only 0.06 eV less stable. Therefore, the interaction depends very sensitively on the electronic and atomic structures of clusters. Adsorption of two hydrogen are studied on a few selected sites which included two neighboring faces with H atoms on the different Al atoms [Fig. 1(8d)], the two H atoms on the top sites of neighboring Al and Al atoms in the upper part of Al8Co [Fig. 1(8e)], and two opposite top sites of neighboring Al atoms in the upper part of Al8Co [Fig. 1(8f)]. The 8d isomer has the lowest energy (Table 2). The BE of this isomer is 5.57 eV, which is larger than AlnCo (n=2, 4, 6 and 7) and similar to AlCo and slightly slower than the value for Al3Co and Al5Co.

The lowest energy structures for Al9Co, Al10Co and Al11Co clusters are spin triplet structure with C1 symmetry, spin doublet structure with C2 symmetry, and spin triplet structure with C1 symmetry, respectively. And the binding energies are 16.87, 18.39 and 20.86 eV. The Al9Co may be viewed as an Al atom attached to the most stable form of Al8Co. H adsorption on Al atom [Fig. 1(9b)], a doublet, is the most stable with a binding energy of 2.64eV. The ground state corresponding to Al9CoH2 cluster is a spin singlet with an average Al-As bond length of 2.378 Å, which is the same as Al9CoH. Two H favor top sites of neighbor Al and Al atoms [Fig. 1(9c)]. Just like the Al3Co and Al5Co, Al7Co clusters discussed above. Two H adsorption on distant Al and Al atom [Fig. 1(9d)], a spin singlet is a substable structure with a binding energy of only 0.09 eV less than the ground state.

Both of Al10Co and Al11Co clusters adsorb H on Al atom [Fig. 1(10b) and 1(11b)], and the lowest energy structures for both Al10CoH2 and Al11CoH2 clusters are also two H prefer on the top sites of neighbor Al and Al atoms [Fig. 1(10c) and (11c)].

For Al12Co, the Cs symmetrical Al12Co cluster [Fig. 1(12a)] has been computed to be the most stable using B3LYP/lanl2dz method. Adsorption of single hydrogen on the top site of Al atom [Fig. 1(12b)] is considered. The BE (2.88eV) of H on Al12Co is one of the largest among all the clusters studied. However, the HOMO-LUMO gap is small (1.39 eV). The small HOMO-LUMO gap is likely to make further interaction of hydrogen with this cluster energetically so favorable. In order to confirm this, calculations on Al12CoH2 are carried out. Several initial configurations are considered for two hydrogens. These include two H atoms on the top sites of neighboring and opposite Al and Al (Co) atoms in the same hexagon and two H atoms on the top sites of Al and Al (Co) atoms in the neighboring faces. The 1(12d) isomer is 0.62 eV less stable as compared to the 1(12c) isomer that is the most favorable. In order to further check the results obtained from the B3LYP method, BE’s for H on the top sites of Al12Co is calculated using the PW91 method. It is found that the BE’s of hydrogen is 2.69 eV. This result is quite close to the value (2.88 eV) obtained from the B3LYP method.

AlnCo (n=13-15) take the C1, C1 and Cs structures as their ground states, respectively. For AlnCoH (n=13-15), the ground states reveal top H bonding to the Al atoms [Fig. 1(13b), 1(14b) and 1(15b)]. The spin multiplicity found for them are all doublet. Top on the neighboring Al and Co atoms ground-state structures are found for AlnCo (n=13-15) [Fig. 1(13c), 1(14c) and 1(15c)]. 

Stability and fragmentation behavior

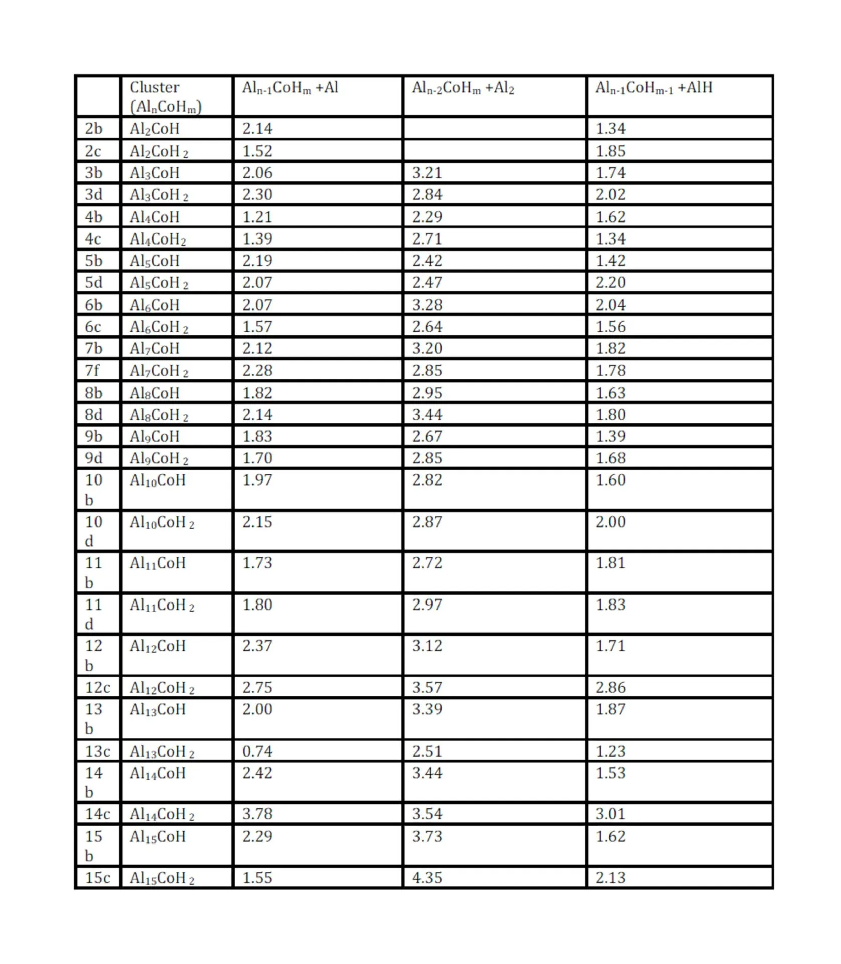
In order to check the stability of the lowest-energy isomers,vibrational frequencies for selected clusters have been calculated using the B3LYP/lanl2dz level of theory. It is found that the lowest-energy isomers of all kinds of clusters discussed above have all real frequencies and are, therefore, stable. Figure 2 shows the plot of the BE of one and two H atoms on AlnCo clusters. As discussed in the previous section, the BE is large for H with n=3, 5, 7, 10, 12, and 15 of AlnCoH atoms. And, for 2H, clusters with n=3, 5, 10, 12, and 14 have higher BE’s. The stability of these complexes is further studied from the fragmentation energies (Table 3). Channels with Aln-1CoHm, Aln-2CoHm, or Aln-1CoHm-1 molecule being one of the fragments have been studied. It is noted that in all these processes, the fragmentation energy is the largest for Al15CoH2 and therefore, it is expected to be among the most stable species. Also the fragmentation energies for Al3CoH, Al8CoH2, Al14CoH, Al14CoH2, and Al15CoH are next largest for all these channels, suggesting them to be other stable clusters. On the other hand the fragmentation energy for Al13CoH2 is 0.74 eV for Aln-1CoHm +Al channel and it is close to the lowest values. The small clusters of Al4CoH also have lower values.

 

Table 3: Fragmentation energies of AlnCoHm clusters with the product Aln-pCoHm-q, p=1 and 2, and q=1. All the values mean the parent cluster has a larger binding energy than the sum of the BE of the products

Bonding nature

In order to understand the bonding nature of hydrogen on aluminum cobalt clusters, the bond lengths in both hydrogenated clusters and pure aluminum cobalt clusters are discussed. From Table 1 and 2, one finds that the Al-Co bond lengths increase generally as the size of the cluster increases. The Al-Co, Al-H and Co-H bond lengths for the top adsorption on AlnCo clusters are in the range of 2.256-2.622, 1.599-2.052 Šand 1.505-1.740 Å, respectively. Thus, one can conclude that these bond lengths evolve very slowly with cluster size. In addition, the nearly constant value for Co-H and Al-H bond lengths on different clusters at specific adsorption sites suggests the similar nature of bonding of H in different clusters. From Table 2 and Fig. 1, one can also see that hydrogen would like to be onefold with the AlnCo clusters.

Summary

The result on hydrogen interaction with aluminum cobalt clusters has been presented. Hydrogen undergoes chemisorptions and interacts strongly with aluminum cobalt clusters. The Al-on top sites are the most stable chemisorptions site for one hydrogen adsorption in most AlnCo clusters except for AlnCo (n=1, 4, 6, and 11) cluster. Top on the neighboring Al and Al atoms ground-state structures of AlnCo (n=2, 3, 5, 7, 9, 10, 12, 13, 14, 15) and top on the opposite Al and Al atoms ground-state structures of AlnCo (n=4, 6, 8, 11) are found for two hydrogen adsorption on AlnCo cluster. And there is a slight increase in the mean Al-Co bond lengths after H adsorption on the lowest-energy sites of the most AlCo clusters. In addition, the nearly constant value for Co-H and Al-H bond lengths on different clusters at specific adsorption sites suggests the similar nature of bonding of H in different clusters. In general, the binding energy of H and 2H are both found to decrease with a decrease in the cluster size. And the result shows that large binding energies of the hydrogen atoms and large highest occupied and lowest unoccupied molecular-orbital gaps for Al3CoH, Al15CoH and Al14CoH2 make these species behaving like magic clusters. The stability of these complexes is further suggesting being the stable clusters from the fragmentation energies.

Figure.1 Relaxed structures of AlnCoHm (n=1-15; m=1, 2). Gray, black and white balls are used for Al, Co and H, respectively
Figure2: Binding energies of H (left) and 2H (right) atoms on AlnCo clusters

Acknowledgment

This work was financially supported by the National Natural Science Foundation of China (Grant No. 20603021), the Natural Science Foundation of Shanxi (Grant No. 2013011009-6), the Youth Academic Leader of Shanxi, Undergraduate Training Programs for Innovation and Entrepreneurship of Shanxi Province (Grant No. 2013145) and Shanxi Normal University (SD2013CXCY-65,105088) and Teaching Reform Project of Shanxi Normal University (SD2013JGXM-51).

References

1.  Andersonsmall, H. H. (1997) Particles and Inorganic Clusters, New York press.

2.  Behm, J. M., Brugh, D. J. and Morse, M. D. (1994) “Spectroscopic analysis of the open 3d subshell transition metal aluminides: AlV, AlCr, and AlCo,” Journal of Chemical Physics, 101 (8) 6487-6499.
PublisherGoogle Scholar

3.  Bond, G. C. (1987) Heterogeneous catalysis : principles and applications, Clarendon Press, Oxford, New York.

4.  Chen, F. Y. and Johnston, R. L. (2008) “Energetic, Electronic, and Thermal Effects on Structural Properties of Ag-Au Nanoalloys,” ACS NANO, 2 (1) 165-171.

5.  Guo, L. (2007) “Evolution of the electronic structure and properties of neutral and charged cobalt-doped aluminum clusters,” International Journal of Mass Spectrometry, 268 (1) 8-15.
PublisherGoogle Scholar

6.  Guo, L. (2008) “The cobalt-doped aluminum AlnCo (n = 8—16) and their anions: Structure, thermochemistry, and electron affinities,” Journal of Alloys and Compounds, 466 (1-2) 463-470.
Publisher Google Scholar

7.  Khanna, S. N. and Jena, P. (1994) “Designing ionic solids from metallic clusters,” Chemical Physics Letters, 219 (5) 479-483.
PublisherGoogle Scholar

8.  Knight, W. D., Clemenger, K, de Heer, W. A., Saunders, W. A., Chou, M. Y. and Cohen, M. L. (1984) “Electronic Shell Structure and Abundances of Sodium Clusters,” Physical Review Letters, 52 (24) 2141-2143.
PublisherGoogle Scholar

9.  Koel, B. E. and Somorjai, G. A. (1985) Catalysis, Berlin press.

10.  Laguna, A, Lasanta, T, Lopez-de-Luzuriaga, J. M., Monge, M, Naumov, P. and Olmos, M. E. (2010) “Combining Aurophilic Interactions and Halogen Bonding To Control the Luminescence from Bimetallic Gold-Silver Clusters,” Journal of the American Chemical Society, 132 (2) 456-457.

11.  Lahr, D. L. and Ceyer, S. T. (2006) “Catalyzed CO Oxidation at 70 K on an Extended Au/Ni Surface Alloy,” Journal of the American Chemical Society, 128 (6) 1800-1801.
Publisher Google Scholar

12.  Lee, H. M., Ge, M, Sahu, B. R., Tarakeshwar, P. and Kim, K. S. (2003) “Geometrical and Electronic Structures of Gold, Silver, and Gold-Silver Binary Clusters: Origins of Ductility of Gold and Gold-Silver Alloy Formation,” Journal of Physical Chemistry B, 107 (37) 9994-10005.
PublisherGoogle Scholar

13.  Lu, C, Kuang, X. Y., Lu, Z. W., Mao, A. J. and Ma, Y. M. (2011) “Determination of Structures, Stabilities, and Electronic Properties for Bimetallic Cesium-Doped Gold Clusters: A Density Functional Theory Study,” Journal of Physical Chemistry A ,115, 9273-9281.
PublisherGoogle Scholar

14.  Menezes, W. J. C. and Knickelbein, M. B. (1991) “Bimetallic clusters of cobalt and aluminum: ionization potentials versus reactivity, and the importance of geometric structure,” Chemical Physics Letters, 183 (5) 357-362.
PublisherGoogle Scholar

15.  Menezes, W. J. C., Knickelbein, M. B. (1993) “The evolution of electronic structure in AlnCom,” Zeitschrift für Physik D Atoms, Molecules and Clusters, 26 (1) 322-324.
Publisher Google Scholar

16.  Nonose, S, Sone, Y, Onodera, K, Sudo, S. and Kaya, K. (1989) “Reactivity study of alloy clusters made of aluminum and some transition metals with hydrogen,” Chemical Physics Letters, 164 (4) 427-432
Publisher Google Scholar

17.  Ouyang, Y. F., Wang, J. C., Hou, Y. H., Zhong, X. P., Du, Y. and Feng, Y. P. (2008) “First principle study of AlX , (X=3d,4d,5d elements and Lu) dimmer,” Journal of Chemical Physics, 128 (7) 074305-1-6.
PublisherGoogle Scholar

18.    Passacantando, M, Ottaviano, L, D’Orazio, F, Lucari, F, Biase, M. D., Impellizzeri, G. and   Pramann, A, Nakajima, A. and Kaya, K. (2001) “Photoelectron spectroscopy of bimetallic aluminum cobalt cluster anions: Comparison of electronic structure and hydrogen chemisorption rates,” Journal of Chemical Physics, 115 (12) 5404-5410.
PublisherGoogle Scholar

19.    Priolo, F. (2006) “Growth of ferromagnetic nanoparticles in a diluted magnetic semiconductor obtained by Mn+ implantation on Ge single crystals,” Physical Review B, 73 (19) 195207 (5).
PublisherGoogle Scholar

20.    Singh, A. K., Kumar, V. and Kawazoe, Y. J. (2005) “Thorium Encapsulated Caged Clusters of Germanium: Th@Gen, n =16, 18, and 20,” Journal of Physical Chemistry B, 109 (32) 15187-15189
PublisherGoogle Scholar

21.    Tian, F. Y., Jing, Q. and Wang, Y. X. (2008) “Structure, stability, and magnetism of ScnAl (n=1-8,12) clusters: Density-functional theory investigations,” Physical Review A, 77 (1) 013202 (8).   
Google Scholar

22.    Zanti, G. and Peeters, D. (2010) “DFT Study of Bimetallic Palladium-Gold Clusters PdnAum of Low Nuclearities (n + m ≤14),” Journal of Physical Chemistry A, 114, 10345-10356.
PublisherGoogle Scholar

23.    Zhao, Y. R., Kuang, X. Y., Zheng, B. B., Li, Y. F. and Wang, S. J. (2011) “Equilibrium Geometries, Stabilities, and Electronic Properties of the Bimetallic M2-doped Aun (M = Ag, Cu; n = 1-10) Clusters: Comparison with Pure Gold Clusters,” Journal of Physical Chemistry A, 115, 569-576.

Shares