Export Performance of Moroccan SMEs under a Paradoxical Prism

Badr TEMSAMANI and Mostafa ABAKOUY

Ecole Nationale de Commerce et de Gestion de Tanger, Abdelmalek Essaâdi University, Tangier, Morocco

Academic Editor: Balazs Kotosz

Cite this Article as:

Badr TEMSAMANI and Mostafa ABAKOUY (2025), “Export Performance of Moroccan SMEs under a Paradoxical Prism”, Journal of North African Research in Business, Vol. 2025 (2025), Article ID 823662, https://doi.org/10.5171/2025.823662

Copyright © 2025. Badr TEMSAMANI and Mostafa ABAKOUY. Distributed under Creative Commons Attribution 4.0 International CC-BY 4.0

Abstract

The concept of export performance has evolved from a predominantly economic approach to a more comprehensive perspective and, more recently, to a sustainability-oriented approach.

The present study investigates how can exporting SMEs reach sustainable performance while reconciling goals that are competing and coexisting simultaneously. The aim of the study is to narrow the literature gaps related to the concept as well as to understand the unresolved tensions that arise from conflicting expectations and dimensions.

An exploratory qualitative study was conducted, involving a population of practitioners and experts in different exporting fields in Morocco, to examine how exporting SMEs deal with economic, social, and environmental challenges to achieve an overall performance.

The results suggest the following: 1) Export performance needs paradoxes management capacities, particularly in exporting SMEs; 2) Companies that are applying sustainable practices are improving their competitiveness; and 3) Export performance depends on sustainable value of products compiled with markets diversification.

Our study contributes to the understanding of the complex relationship between sustainable corporate actions and stakeholder needs, to achieve the full richness of the concept of export performance.

Keywords: Export performance, Overall and sustainable export performance, Paradoxes of performance, SMEs, Exploratory study.

Introduction and Research Context

The export performance concept has been the subject of a rich literature that has faced both conceptual and methodological limitations. Research on performance has evolved from a dominant financial approach to a more general one, and nowadays we are talking about sustainable performance.

The scientific community define the overall performance as a translation of the Sustainable Development Goals across the company. Ideally, and considering the environmental and social challenges that businesses face, the overall performance should be measured against environmental sustainability, social equity and economic resilience. As several authors mentioned, overall performance has become a central issue for all companies, especially for those operating in the international context.

However, the concept is still vague and polysemic as it includes several interpretations (Temsamani, B., Abakouy, M., 2024). In business, it refers to everything that contributes to value creation, hence the interest of questioning the usefulness of the value created by the company for different stakeholders (customers, employees, environment, society, future generations, etc.) as well as shareholders, executives and managers. Therefore, the overall performance appears as a contingent construct that reflects the confrontation of several and contradictory interests. Generally, the overall performance shows a balance between its economic, social and environmental components

However, the overall performance management is challenged with the conflicting dimensions of financial and non-financial issues.

Given that company has a multidimensional responsibility, covering the economic, social and environmental aspects, it should consider contradictory expectations and interests, while finding compromises between them, which gives rise to opposing tensions, called organizational paradoxes.

The authors Smith and Lewis (2011) define paradoxical tensions as oppositions between contradictory and interdependent goals. Other authors (Brix-Asala, Geisbüsch, Sauer, Schöpflin, and Zehendner, 2018) assume that the resolution of paradoxes requires adaptive strategies. Rather than trying to eliminate tensions, companies must learn how to manage them and take advantage of the opportunities that may arise.

In the export context, performance means a balance between expectations from markets, demanding customers and specific regulations with the aim of attaining the Sustainable Development Goals.

While tensions are recognized by the scientific community, their effective management remains less explored, especially in the context of exporting companies. Therefore, the overall export performance, under a paradoxical prism, is a promising but still under-theorized field. The current literature tends to focus on large firms and multinationals, neglecting SMEs, especially those from developing countries.

Moroccan exporting companies offer a relevant field of study to explore the paradoxical tensions between economic, social and environmental objectives to identify strategies for achieving sustainable export performance.

Our study will explore the overall export performance in the Moroccan context. To this end, we asked the following central research question: “How do exporting SMEs manage paradoxical tensions in reconciling economic, social and environmental dimensions, so as to achieve sustainable performance?”

Our study will contribute, on one hand, to the international marketing field by studying the concept of overall export performance, and will suggest, on the other hand, guidelines to advance practices leading to sustainable export performance, considering the challenges faced by developing countries (Okeke, 2024).

Our paper will then offer recommendations for future research on the conceptualization of overall and sustainable export performance. It will also help to understand the firm responsibility in achieving sustainable development goals.

Our paper is structured in four sections: first we present a literature review on the main concepts; after we describe the methodology used in the study; then we present the empirical results; to finally unveil our recommendations.

Literature Review

Previous Research on Export Performance

Export performance is one of the most widely studied but also the least understood and most controversial areas of international marketing. This problem can be attributed to the difficulties of conceptualization, operationalization and measurement of export performance, which leads to inconsistent and often contradictory results. Existing literature is fragmented and no consensus theory has emerged, which suspend scientific and practical progress in this area (Zhou, Wu, and Luo, 2007).

Research on the export performance of firms dates to the early 1960s with the founding work of Tookey (1964), who was the first to identify factors associated with successful exports. Then, numerous empirical studies have examined the relationships between export performance determinants and their outcomes, reflecting a growing interest in the concept worldwide. To conceptualize the dynamics of these relationships, usually the suggested models used three sets of variables: Context variables, such as environmental, organizational and managerial forces that indirectly affect export performance; Intervention variables, that influence export performance directly, such as export strategy and marketing; and the Export performance variables, called also Outcome variables, which are the results showing measures of export performance of a company.

Export performance is of interest to business managers, policy makers and international marketing researchers (Sadeghi, Rose and Madsen, 2021). Advocating a more sustainable vision for driving performance, researchers (Chrisovalantis, Debashree, Andreas, Prasanta, and Konstantinos, 2021) relied on the systemic approach, which emphasizes the complex relationship between the firm and its environment, in order to maintain a balance between the aspirations of all stakeholders.

Although the literature strives to reconcile the conflicting dimensions and goals of overall export performance, the issue of paradoxical tensions remains unresolved, especially for SMEs from developing countries.

Research sources and methods

In this section, we will describe the approach used for literature review and present the research protocol.

We have performed a Scoping review in our literature study, for the following reasons:

a) To have a general knowledge about the subject;

b) To understand the scientific corpus;

c) To clarify key concepts;

d) To examine the recommendations for future research.

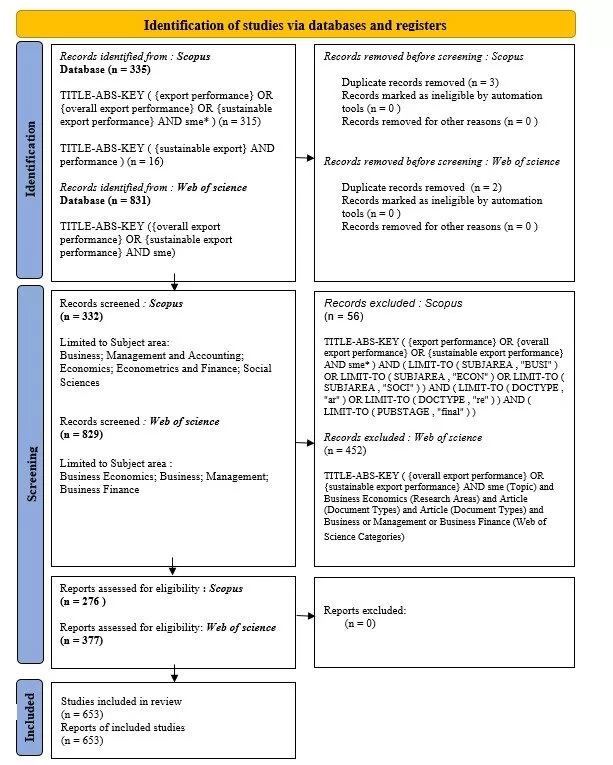
The research protocol, see Figure 1: “PRISMA Flow diagram used for the Scoping review”, describes the research questions, keywords and their synonyms, the databases used, inclusion and exclusion criteria, the publication period and the fields covered.

We have set the following research questions: How to measure overall export performance? What are the factors influencing this performance? Is there a sustainable export performance, especially for SMEs?

Key words used to answer the research questions are: export performance, overall export performance, sustainable export performance, factors and determinants of export performance, measures of export performance and exporting SMEs.

We targeted two multidisciplinary bibliographic databases of abstracts and citations, namely: Scopus (Elsevier) and Web Of Science (Clarivate).

To be eligible for inclusion, articles and papers had to meet the following criteria: first, companies engaged in export business; and, second, microeconomic analysis perspective.

The literature study covered articles published for the period ranging from 1988 to 2024 on Scopus, and from 1993 to 2024 on Web Of Science. It should be noted that the articles were reviewed on both databases to identify and eliminate duplicates.

Therefore, our PRISMA flow diagram for the literature review applied for our Scoping review can be presented as follows

Figure 1. PRISMA Flow diagram used for the Scoping review

Results Analysis

In this section, we will present the results found using the queries made on both databases (Scopus and Web of Science), in order to make a critical analysis.

On the Scopus database, 276 articles were identified and included, belonging to the fields of marketing, management, economics of international trade and econometrics. While on the Web of science database, 377 articles were identified and included, belonging to the fields of marketing, management, finance and economics.

The main clusters with key concepts, identified in the scientific corpus related to overall and sustainable export performance, were visualized graphically using the bibliometric analysis software VOSviewer.

The following table illustrates the main clusters and concepts identified:  

Table 1: Main clusters and concepts identified in databases

The following figures illustrate the visualization of clusters and key concepts identified:

Figure 2. Visualization of clusters and key concepts identified, topic: Overall and sustainable export performance

(Source: Scopus database)

Figure 3. Visualization of clusters and key concepts identified, topic: Overall and sustainable export performance

(Source: Web of science)

While analysing literature reviews on export performance, it can be said that many articles and studies have examined the relationships between the determinants of export performance and their outcomes. This reflects the growing interest of the subject within the scientific community. Several authors (Carlos and Sousa, 2004) have attempted to conceptualize the dynamics of these interrelations by proposing models that generally consist of three groups of variables, namely: context variables (such as environmental, organizational and managerial factors) that indirectly affect export performance; intervention variables that directly influence export performance, such as export strategy and marketing; and the export performance variables, which measure the export performance of a company.

Export performance is the dependent variable and is defined as the result of a company’s activities in export markets (Shoham, 1996). There are mainly two types of measures to assess export performance results, namely: economic or financial measures (such as export turnover, profits, market share, etc.), non-economic or non-financial measures (particularly in relation to products, markets, experience, etc.), and finally the so-called generic measures related to the degree of satisfaction with the export objectives set by the company.

Given the multidimensional nature of export performance, it has been found that there is no consensus on the definition of export performance concept, nor for overall and sustainable export performance. Despite a rich literature, empirical research relies on a multitude of different methodological approaches which raise doubts about the coherence of theoretical framework.

Regarding the concept of overall and sustainable export performance, authors generally focus on one of its components, without integrating others; the environmental issues are the most studied, compared to social and economic ones.

Methodology

In this section, we will describe the methodology used for data collection and analysis.

Data Collection

As part of our research, we thought it would be valuable to conduct an exploratory qualitative study using semi-structured interviews. The semi-directive interview method is the most suitable one for understanding sustainable export performance, especially within the SMEs context.

An interview guide was established based on the results of our literature review, that has revealed the existence of two types of variables. The first concerns both environmental and organizational factors, which include the internal resources and capabilities of the exporting company, as well as managerial factors which contain decision-making behaviour. The second is related to the business model and sustainable commercial strategy adopted by the exporting company.

Based on the literature review results, the interview guide was structured, through the following topics:

– Topic 1 (T1): Overall perceived export performance by Moroccan SMEs;

–  Topic 2 (T2): Determinants of overall export performance;

–  Topic 3 (T3): Improvement of overall export performance;

– Topic 4 (T4): Complexity of combining economic, social and environmental aspects for a sustainable export performance and the ability to address contradictory goals;

–  Topic 5 (T5): Myth and reality of managing a sustainable export performance.

The interview guide was designed to collect input from the interviewed persons by asking them questions in four distinct steps:

–  Step 1: Opening questions on the subject;

–  Step 2: Investigation questions and focus on the subject;

–  Step 3: Involvement and deepening questions on the subject;

-Step 4: Summary questions and recommendations.

In this regard, we conducted interviews, asking the same questions to three categories of persons: the first aimed at Managers and Executives who practiced the export activity in different contexts; the second targeted Experts who, by their expertise and positions, have large experience to fully explore research questions; and the third, interested university researchers, in order to understand the subject from its academic aspects.

Conduct of interviews

Based on the topics defined in advance in our semi-structured interview guide, we interviewed the three categories of persons by asking them open and closed questions, with the aim of exploring the subject and discovering the unexpected aspects during the interviews. 

In total, we conducted eight interviews divided into the following categories:

  • Category I: Managers and Executives

Represented by export managers and executives with the following positions: Sales Manager, Export Manager and Logistics Manager.

  • Category II: Experts

Represented by experts from the Moroccan federations and associations of exporting companies (La Confédération Marocaine des Exportateurs – ex ASMEX, La Fédération des Industries de Transformation et de Valorisation des Produits de la Pêche – FENIP and La Fédération Nationale de l’Agroalimentaire)

  • Category III: University Researchers

Represented by academic researchers interested in the subject.

The following synoptical table illustrates for each of the above-mentioned categories the conducted interviews:

Table 2: Synoptical table with conducted interviews by categories

Data Analysis

Different methods of analysis and data processing are used in qualitative studies. Particular methods are used based on the type of research questions and the nature of the subject.

In our study, we have chosen the recommended technique by Thietart et al. (2007) for the analysis of the content of speech, namely «Topic Analysis», which is the most appropriate method for our research questions, as we are seeking to explore a multidimensional concept, within units of analysis that may be a sentence, a portion of a sentence, or even a set of sentences relating to the same subject.

In our research, the analysis of the content of the speech was based on the textual technique of Topic Analysis, seeking similar expressions, phrases, or even quotes that illustrate common interests and concerns among the interviewed persons.

For data processing, a free and open-source software tool, named QualCoder, was used for supporting qualitative data analysis process. QualCoder was used for creating open coding to create connections among the data. During data analysis, individual units of research were identified. Once we have coded all our data files, QualCoder was used to make reports that show the frequency and distribution of the codes.

The primary data from the transcription of speeches related to the various topics discussed and witnessed by the Moroccan SMEs were processed and analysed with respect to the following process:

1- Transcription of recorded speeches;

2- Splitting of the transcribed text into several units of analysis;

3- Grouping of the units of analysis into homogeneous categories;

4- Count of frequencies for appreciation.

Empirical Results

After presenting the methodology used for data collection and analysis, this section aims to present the main findings and results.

During the semi-structured interviews, we asked the interviewed persons to give insights about the mentioned topics in methodology section, as follows

Table 3: Questions related to topics discussed during the semi-structured interviews

The analysis of reported contents in the verbatim revealed the following concepts and keywords:

Export performance; Sustainable development; Moroccan export supply; Export competitiveness; Logistics constraints; Made in Morocco; Untapped potential; Concentration on traditional partners; African market; Agri-food; Climate change; Renewable energy; Exporting SMEs; Food sovereignty.

Based on speeches during topics discussions, the data processing has provided the following results:

Overall perceived export performance

The data processed on the overall perceived export performance gave the following units of analysis:

Poor positioning in world trade

Despite a 30% increase in value between 2014 and 2018, Moroccan exports make up to 0.15% of world exports of goods and 0.3% of exports of services. The Moroccan export supply is dominated by intermediate goods (finished products represent only 32% of all Moroccan exports).

Focus on traditional partners

Export markets represent only 35% of global demand. Other markets in Europe and elsewhere are little or not addressed. 46% of Moroccan exports are shipped to Spain and France.

Regional concentration and volatility of exports

Export companies are highly concentrated in the Casablanca-Settat region. The population of exporting companies is growing; however, it is volatile, with annual turnover around 50%. Two players account for one third of exports (OCP and Renault). Two low-value sectors (agriculture/agri-food and seafood) account for 20% of exports.

Untapped export potential

Existing of dormant sectoral and territorial opportunities (12 regions). A strong global demand not addressed by Moroccan companies remains to be exploited.

SMEs Vulnerability

The Moroccan exporting SMEs are driven by foreign demand. It is at the initiative of the foreign customer, who expresses his needs, that export supply is born. SMEs are looking for export opportunities that are not regular, thanks to flagship products or those with a cost advantage.

Lack of anticipation, changes in market needs, consumer behaviour or new regulations are likely to disrupt the export performance of SMEs, especially with the arrival of European requirements in terms of carbon footprint. High-carbon companies could face significant pressure on their operating costs, which will compromise their competitiveness. The textile and agri-food sectors, which weigh heavily on Moroccan exports to the European Union, must take urgent measures for decarbonisation.

Entry Barriers for trade

Export performance is exposed to non-tariff barriers related to product quality and sanitary restrictions. Also, export performance is dependent on political, economic (debt collection as example) and environmental risks.

Determinants of overall export performance and validity of context variables

The following context variables were validated after data processing:

Competitiveness of exporting SMEs

Export performance is linked to SMEs competitiveness, which is translated into achieving turnover and market shares, debt collection, profitability and international risk management.

The SMEs competitiveness is determined by optimisation of labour, production, transport and logistics costs, which has a significant impact on the export performance.

Therefore, compliance with quality standards coupled with new consumer requirements plays an important role.

Sustainable practices reflecting the Corporate Social Responsibility

The implementation of practices that are part of the CSR of the exporting SME and its commitment to SDG’s, such as green energy, waste management and recycling, optimising raw material consumption, use of lean management, QHSSE standards, responsible purchasing etc. are factors that promote the export performance.

Major role of the entrepreneur

The entrepreneur, owner of the SME, plays a very significant role in export performance, since he decides on the export strategy and the internationalisation process, he has his own perceived export performance.

Market intelligence and Strategic Diagnosis

Market intelligence, with a good strategic diagnosis, are tools that can develop export performance, which is unfortunately not the case for the Moroccan SME.

Capacity and internal resources

The SME’s internal resources determine its export performance, such as experienced human resources, sufficient financial resources, adapted strategies (innovation, CSR and export marketing) and digitalization.

Improvement of overall export performance and validity of intervention variables with competitiveness factors

The following intervention variables as well as factors of competitiveness were validated after data processing:

Product and market competitive advantage

The overall export performance of Moroccan SMEs is strongly linked to the product and its competitive advantage within the market, thus the need for the diversification of exports products via sustainable added value and strict compliance with quality and health standards.

The mastery of the quality/price ratio requires a product of superior and sustainable quality coupled with competitive price.

Sustainable business model and export strategy

The maturity of the company’s sustainable business model, as well as an adequate export strategy, leads to a positioning that meets the sustainability requirements of the target markets, and a better export performance. Sustainable export performance is dependent on good market research with adequate product positioning.

Sustainable partnership approach with customers

Export performance depends on regular contact with customers to identify and assess their needs for sustainable products and services. Foreign customers are highly demanding on the carbonne footprint and sensitive to sustainability standards. Export managers need to coordinate with other entities (production, quality, purchasing, logistics and IT) to align operational performance with customer needs, while offering innovative and digital solutions.

Green and sustainable logistics

Logistics costs optimisation coupled with the use of ecological means of transport allow a better export performance and increase the sustainable commitments. Customers are calling for sustainable supply chains to reduce their carbon footprint.  Hence the need to work with suppliers and logistics partners to develop strategies that have a better impact on social and environmental responsibility.

Complexity of combining economic, social and environmental aspects for a sustainable export performance and the ability to address contradictory goals

Customers are increasingly demanding in terms of companies’ commitment to sustainable development. Regulations are becoming restrictive for access to foreign markets, implying structural changes for exporting SMEs to adopt responsible practices.

To meet the divergent interests of stakeholders and achieve the overall performance, exporting SMEs must manage paradoxical tensions to reconcile economic, social and environmental issues. The Moroccan exporting SMEs comply mainly with quality requirements and ignore environmental and/or social aspects and are not often engaged in a CSR approach.

Sustainable dimensions are interconnected. For instance, implementing environmentally friendly practices can lead to a better productivity and a more positive brand image internationally, but it generates additional costs and lower margins, hence the need to develop integrative strategies to manage paradoxical tensions between economic goals and social and environmental constraints.

Myth and reality of managing a sustainable export performance

Often limited in financial and human resources, SMEs, according to experts, can address the challenges of sustainable export performance paradoxes by adopting innovative approaches while balancing the tensions between conflicting interests of stakeholders.

Exporting SMEs must align with international standards (e.g. ISO 26000-Corporate Responsibility, ISO 50001-Energy Management System, ISO 14001-Environmental Management, GRI-Global Reporting Initiative etc.), integrate ecological and ethical practices.

In this respect, the Moroccan SME can rely on diversification of markets to avoid excessive dependence on the E.U and explore emerging markets in Africa, Middle East or Asia. It can also consider the sustainable value from key sectors’ products, such as food, textiles, crafts, tourism or even renewable energy.

The paradoxical tensions in the export business are related to the costs of investments needed while the expected results are in the long run. In addition, they are related to the adaptation of local practices to sustainable ones.

Rather than seeking to eliminate these tensions, SMEs must learn to consider them as opportunities for improvement so they could likely reach a sustainable export performance.

Discussion and Future Research

The exploratory study results confirmed that integrating sustainable development issues is essential for exports as it ensures economic, ethical and sustainable performance. Companies that apply sustainable practices can improve their competitiveness and reputation, reduce risks, stimulate innovation and contribute to the sustainable development goals.

According to the interviewed experts, overall export performance, seen through a paradoxical prism, is based on the companies’ ability to navigate a complex ecosystem where economic, social and environmental dimensions are intertwined. Exporting SMEs must innovate and collaborate to meet these challenges, which can be met through innovative strategies.

The resolution of performance issues from financial and non-financial dimensions is often associated with the conflict between short and long term goals.

Paradoxes management is generally based on two behavioural attitudes. The first one is to accept them while finding innovative solutions for their integration into a proactive strategy. The second one attempts to reject and deny tensions, which generates symbolic practices to maintain legitimacy vis-à-vis stakeholders, without aligning strategies and operational systems.

In our study, we found that the behavioural attitudes of exporting SMEs are qualified as “paradoxes rejection”, which can be described as an organizational hypocrisy, and explained by SMEs’ limited resources for performing sustainably.

Subsequently, we recommend conducting quantitative studies, in line with the existing theoretical frameworks, to conceptualize and operationalize the main explanatory factors.

Conclusion

Our exploratory study led us to conclude that export performance challenges, seen through a paradoxical prism, can be raised by Moroccan exporting SMEs, if they manage to balance tensions and constraints through innovative strategies and sustainable business models.

The organizational agility of exporting SMEs allows them to innovate quickly, but they must adapt to multiple constraints. In addition, they face a lack of human and technical resources with a weak ability to integrate a sustainable perception of their performance. These challenges are intensified by limited access to necessary financing and technological updates.

Serious questions arise on existing knowledge about the understanding of export performance paradoxes, to be able to explain their basis later and find adequate resolutions for exporting SMEs.

It is recommended to complete the exploratory study by a quantitative one, considering the cultural and economic specifications of exporting SMEs.

References

  • Abakouy, M. and Housni, H. (2016), ‘Export Logistics between do and make do: case of a Moroccan SME in the Food-Processing Sector’, Revue Marocaine de Management Logistique et Transport, N°1 Mai 2016
  • Abakouy, M. (2006), ‘Performances à l’international de la PME marocaine. L’internationalisation des PME et ses conséquences sur les stratégies entrepreneuriales’, Proceedings of CIFEPME 2006, Haute école de gestion (HEG) Fribourg, Suisse.
  • Brix-Asala, C., Geisbüsch, A.-K., Sauer, P. C., Schöpflin, P., and Zehendner, A. (2018), ‘Sustainability Tensions in Supply Chains: A Case Study of Paradoxes and Their Management’, Sustainability, 10(2), 424
  • Carlos M. P. Sousa (2004), ‘Export Performance Measurement: An Evaluation of the Empirical Research in the Literature’, Academy of Marketing Science Review, Volume 2004 no. 09
  • Cavusgil, S. T., and Zou, S. (1994), ‘Marketing strategy-performance relationship: An investigation of the empirical link in export market ventures’, Journal of Marketing.
  • Chrisovalantis, M., Debashree, D., Andreas, M., Prasanta, K., and Konstantinos, E. (2021), ‘Sustainability performance analysis of small and medium sized enterprises: Criteria, methods and framework’, Socio-Economic Planning Sciences, Volume 75
  • Ganotakis, P., and Love, J. H. (2012), ‘Export propensity, export intensity and firm performance: The role of the entrepreneurial founding team’, Journal of International Business Studies, 43(8), 693–718.
  • Okeke A. (2024), ‘Evaluating Sustainable Practices and Supply Chain Management Effectiveness in African Small and Medium-Sized Enterprises (SMEs)’, Journal of Sustainability Research, 6(2):e240033
  • Sadeghi, A., Rose, E. L., and Madsen, T. K. (2021), ‘Perceived Export Performance: A Contingent Measurement Approach’, Journal of International Marketing, 29(3), 63-84
  • Shaoming Zou, Charles R. Taylor and Gregory E. Osland (1998), ‘The EXPERF Scale: A Cross-National Generalized Export Performance Measure’, Journal of International Marketing, 1998, Vol. 6, No. 3 (1998), pp. 37-58
  • Smith, W. K., and Lewis, M. W. (2011), ‘Toward a theory of paradox: A dynamic equilibrium model of organizing’, Academy of Management Review.
  • Temsamani, B., Abakouy, M. (2024), ‘Vers une performance globale et durable à l’export : Revue de la littérature’ Proceedings of the 3rd Edition of Colloque International Coopération Université – Entreprise (CUE-24), ISBN: 9789920917322, April 2024, ENCG Tangier, Morocco, 490-502.
  • Zhou, L., Wu, W. P., and Luo, X. (2007), ‘Internationalization and the performance of born-global SMEs: The mediating role of social networks’, Journal of International Business Studies, 38(4), 673–690.

Shares