Pyrolytic Synthesis of Spherical Carbon Nanoshells

Naing Min Tun and E.G.Rakov

Mendeleev University of Chemical Technology of Russia, Moscow, Russian Federation

Academic Editor: Josef Pola

Cite this Article as:

Naing Min Tun and E.G.Rakov (2014), " Pyrolytic Synthesis of Spherical Carbon Nanoshells ", Journal of Research in Nanotechnology, Vol. 2014 (2014), Article ID 717173, DOI: 10.5171/2014.717173

Copyright © 2014. Naing Min Tun and E.G.Rakov. Distributed under Creative Commons CC-BY 3.0

Abstract

The methane pyrolysis on spherical SiO2 nanoparticles with mean diameter of 40—80 nm has been studied at temperatures 550—800 оС, methane flow rate 50—660 mL/min, and process duration 20—60 min. It is shown that this process results in the formation of core/shell composites with shells having thickness of ~1—12 nm which are permeable to liquids.  The dissolution of a core leads to the extraction of hollow carbon nanospheres.

Keywords: Carbon spherical nanoshells, methane, pyrolysis, template growth

Introduction

Carbon nanostructured materials have attracted the great interest due to their potential in a variety of applications in different areas of techniques, biology and medicine, such as adsorption, capacitive deionization, catalysis, electrocatalysis, photocatalysis, energy storage, sensory and biosensory systems, drug delivery, etc. A special type of carbon material are the hollow micro- and nanoparticles (shells, boxes, spheres) having low density, high values of conductivity and specific surface. The better way to form such three-dimensional (3D) nanostructures is synthesis over specific nanoparticles, viz., template growth. Metals, crystalline and amorphous oxides, carbides, silicides, and fluorides can be used  as a template material.

Various templating techniques have been developed to synthesize carbon core-shell micro- and nanoparticles, such as vacuum sputtering (Hayashi, 1996), molecular beam epitaxy (Jerng, 2011 a; Jerng, 2011 b), sol-gel method (Zhu, 2009), hydrothermal approach (Xuan, 2007; Liu, 2012; Li, 2013), electrostatic interaction  (Yang, 2010; Chen, 2012 a), aerosol spraying (Wen, 2013) and catalytic chemical vapor deposition (CVD).

Among the several approaches reported to-date, CVD of carbon on substrates has a great interest due to the low-cost production of graphene layers, simplicity and easy scaling-up. 
The carbon shells usually represents  the irregular graphene layers which can be thin (one to three layers) (Rümmeli, 2007;  Wang, 2012), have up to 8—10 layers (Rümmeli, 2008;   Teunissen, 2001; Rümmeli, 2010 a), or be rather thick. The number of carbon layers can be tuned by changing the growth time and the temperature.

Certain transfer-free methodologies for flat substrates have been also proposed (Ismach, 2010; Yan, 2011; Wang, 2013). Direct growth of graphene ribbons on sapphire and SiO2 dielectric substrates using chemical vapor deposition  has been studied by Ismach et al. (2010) and Wang et al. (2013). The process includes deposition of Cu or Ni films, chemical vapor deposition  using hydrocarbons and  metal  etching. Graphene ribbons up to few millimeters long were formed along the periphery of  pre-patterned Ni films (Wang, 2013).

Many oxides can encourage the carbon graphitization. Different hydrocarbons were used for the pyrolysis and covering the oxide surface. An impressive series of works on developing, testing and use of   3D  composite  materials  has  been  done in Japan by M. Inagaki et al. (1998, 2004, 2006).

As a rule, the materials were produced by metal-catalyst-free pyrolysis of poly(vinyl chloride), poly(ethylene terephtalate), hydroxyethylcellulose or poly(vinyl alcohol) in contact with ceramic particles at temperatures between 700 and 1000 oC in inert atmosphere.  At a definite thickness of carbon shells the values of their specific surface and porosity  can be significantly increased.

Application  of the CVD route in which the nanoparticles of  Al2O3, TiO2 and  MgO are exposed to
ethanol vapor  was recently explored by Bachmatiuk et al. (2013). Pyrolysis of cyclohexane vapor over MgO was also studied  by Rümmeli (2010 a). The growth of graphene shells on MgO and ZrO2 particles by pyrolysis of C2H2 at low temperatures was studied  by Rümmeli et al. (2010 b; 2010 a) and  Scott (2011).

Porous hollow carbon@sulfur composites were formed earlier using silica particles 200 nm in diameter (Jayaprakash, 2011), 500 nm in diameter (Shin, 2013) and 150 — 200 nm (He, 2014) as template. Spherical SiO2 matrix with diameter more than 100 nm were used for the carbon shells by pyrolysis of different organic compounds, but not methane   (Yoon, 2002; Kim, 2003; Su, 2006; Kim, 2009; Chen 2012, b;  Bottger-Hiller, 2013; Qiao, 2013).

The synthesis of carbon/MgO core/shell and pure carbon shell particles at CH4 decomposition using  MgO as a template was described  by Davydov et al. (2012). 
Here we report on the formation of  hollow carbon nanoshells by  pyrolysis of methane on spherical SiO2  nanoparticles.

Experimental part

Sample preparation

Nanoparticles of SiO2 produced by plasma pyrolysis of  SiF4  have been used as a matrix.  The size distribution of  SiO2 particles is shown in Fig. 1. It is seen that the most part of them has diameter 30—90 nm with average value of  50—70 nm.

Figure 1: Distribution of silica particles by size.
 

Domestic gas with 99 % of methane content is used without any cleaning for the experiments.3D carbon networks are prepared on SiO2  by CVD at ambient pressure.

The carbon-encapsulated SiO2 nanoparticles are  synthesized in a horizontal   tube  furnace (Fig. 2).   The   reactor   consists  of   a  sectioned  quartz   tube 55 mm  in outer  diameter. The  tube has working area heated by electric furnace, and cold area, with a sealing leg between the areas. We introduce methane into quartz tube 1 h before the pyrolysis  to achieve the full displacement of air

 
Fig. 2. Reactor for pyrolysis: 1 — metal stick for introducing of the boat to hot area; 2 — boat with SiO2 nanoparticles in cold area; 3 — sealing leg; 4 — tube for exhausted gases; 5 — electric heating furnace; 6 — quartz tube; 7 — tube for gas input; 8 — equipment for measuring  and adjustment of temperature.
 

from the reactor. The boat with 250 mg of SiO2 was put into reactor  by means of a special stick after heating the working area. The boat is held for a definite time in the hot area, then moved to the cold area, cooled and drawn out.  The product is weighted and analyzed.  Gas flow (100—800 mL/min) is  preliminary calibrated  at  room temperature.  The  flow rate is  controlled precisely by volume flow controller.

Product characterization

For the determination of  deposited carbon mass, the samples were calcined at 750—800 оС during 3 h in air, cooled in closed exiccator and weighted.  The  thickness of carbon shells is estimated using total mass gain of deposited carbon and the mean size of  the encapsulated  SiO2  particles.

Scanning electron microscopy (Chem JEOL, JSM-6510LV) and transmission electron microscopy (FEI Tecnai G2 30 ST) were used to study the morphology of the starting SiO2 particles, encapsulated nanoparticles and hollow shells. The specific surface of start materials and the products is measured by BET method (Sorbi MS).

Results and discussion

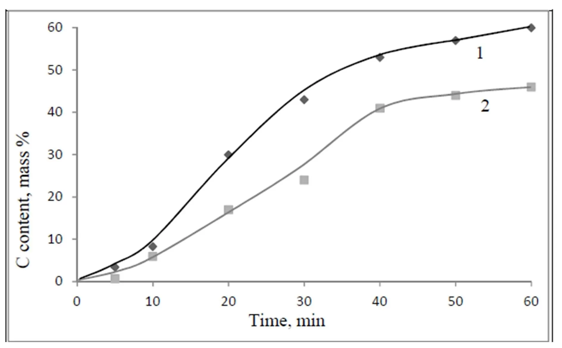
The CH4 pyrolysis is observed at the temperature 500—900 oC. The typical dependencies of mass change  on the process duration and gas flow rate at relatively high temperatures are represented by the curves with saturation (Fig. 3 and  4).

By analogy with the results of hydrocarbon pyrolysis over Cu, Ni  and other metals, one can suppose that the surface of oxides exerts a catalytic influence on  pyrolysis reaction. With increasing deposit thickness and process duration this influence weakens and finally ceases. Ceramic materials also has been used as catalysts of methane decomposition, e. g. by Hussain and  Iqbal (2011). The activity of SiO2 was found to be  much lower than MgO/SiO2 or Ni doped MgO/SiO2.

It would be noted that at the highest temperatures, along with the carbon deposition on the tested samples, it takes place on the walls of quartz reactor. This uncontrolled deposition follows by the increasing  of  hydrogen  content  in  reaction  gases  and  some   distortion of calculated data.  The increasing of H2 concentration in reaction gases  delays  the pyrolysis  reaction too.

The final mass gain due to formation of carbon deposit on SiO2 depends on the temperature   (Fig. 5), and at  850—900 оС rises up to   72 mass %. 
 
Figure 3:  The influence of pyrolysis time on mass of carbon deposit  on SiO2  at СН4  flow rate of 330 mL/min and temperature of 800 oC (1) and 700 oC (2).
 
Figure 4: The influence of СН4 flow rate on mass of carbon deposit  on SiO2  at temperature of 850 о С and process duration of 60 min.
 
Figure5: The Arrhenius plot  of  carbon deposition on SiO2  matrix.
 

The value of apparent activation energy that is estimated using  medium part of the curve, is near 100 kJ/mole. This value is appreciably lower than the activation energy determined by Hussain and Iqbal (2011), which is equal to 186 kJ/mole, and defined in the work of Brüggert et al. (1999) — 446 kJ/mole. The difference may be related to the lower temperatures in our experiments and to the lower activity of  SiO2  catalyst. Also, it is likely that our data are influenced by carbon deposition process on the walls of  quartz  tube.

The results of electron microscopy analysis are evident of thin carbon layer formation on SiO2 particles. As it is seen in Fig.  6 b – e, the shells covered  whole surface of particles.  The diameters of produced hollow carbon spheres closely repeats    the size   of   initial  SiO2  particles. 

Some of  the empty shells are slightly distorted. To calculate medium diameter of SiO2 particles, we takes into account overall numbers of particles  in definite fractions of 20 nm in size at the interval of  21—210 nm. Assuming the mean diameter of particles equal to 60 nm and considering mass gain during deposition of carbon shells, it is possible to calculate the conventional thickness of the shells.  The calculated thickness values are shown in Table 1.
 
Table 1: The calculated thickness of the shells at different experimental conditions
 

* Gas flow rate 466 mL/min, in other cases 330 mL/min. 

As it is seen, the value of the shell thickness can be controlled by alteration of  pyrolysis  temperature and duration.

SiO2 matrixes covered by carbon shells can be easily dissolved in HF aqueous solution, thus the shells  are   microporous   and   permeable   to   solutions. 

 
Therefore,   the  calculated   values   are approximate and underestimated by 15 — 20 %. The real thickness  of  shells produced at 600 oC and  pyrolysis duration  of  30 min, measured in micrographs (Fig. 6), is 1—12 nm. This  interval coincides with calculated values. At lower temperature and process duration, the thickness less than 1 nm can be achieved.
Figure 6: Carbon shells produced by CH4 pyrolysis over spherical  SiO2 particles (SEM): a — silica particles (SEM); b — silica particles with carbon shells (SEM); c — carbon shells (SEM); d  — carbon shells (TEM); e — carbon shells (TEM) and their diffraction pattern.

 

The carbon spherical shells with the thickness of some nanometers become not strong and do not keep their habitus. Therefore  destroyed spheres are seen on some of  the pictures (Fig 6 d), but its number is negligible. Coalescent particles are also observed.

In 1959 Cullis et al (1959) has showed that  carbon  deposited from methane on silica substrate had a normal graphite structure, in other words  represented   graphene (which was not yet  discovered). 

The electron diffraction pattern (Fig 6 e) corresponds to the polycrystalline graphite structure of carbon deposit.

The lower is the pyrolysis temperature, the higher are porosity and specific surface  values of shells. The  specific surface of shells synthesized at 600 oC was 175 m2/g, whereas specific surface value of  a matrix SiO2 particles was equal to 12—13  m2/g.

Carbon shells  having thickness lower than 5—7 nm in the case of individual particles must be transparent or semitransparent, as it was shown earlier by Kaplas and Svirko (2012). Our shells are transparent in electron  beam, however  as a whole they retain black color.
The unique spherical carbon shells synthesized here have high electrical conductivity and can be used as electrode material for capacitive deionization (electrosorption) of  waste water  effluents.

Conclusion

A simple method for the preparation of 3D architectures is developed via a pyrolytic process. The methane pyrolysis at  temperatures of 500—900 оС on the spherical nanoparticles of SiO2 allows to get a соre-shell hybrid composites, and the consequent dissolution of SiO2 matrix leads to formation of isolated hollow carbon shells. The main part of these shells have diameters of 40 — 80 nm with a shell thickness of  1—12 nm.  The values of shell density and specific surface are temperature dependent: The lowering of synthesis temperature leads to the reduction of density and to the increasing of specific surface. 

Acknowledgement

The authors thank Dr. E. Melnichenko for the granting of SiO2 samples; V. Zhigalina for TEM investigation; Mendeleev Research Center for SEM  investigation; O. Vinokurova for the measurement of specific surface.

Conflict of interests

The authors have declared that no conflict of interest exists.

References

1.    Bachmatiuk, A., Mendes, R. G., Hirsch, C., Jähne, C.,  Lohe, M. R., Grothe, J., Kaskel, S, Fu, L., Klingerer, R., Eckert, J., Wick, P., and Rümmeli, M. H. (2013) ‘Few-Layer Graphene Shells and Nonmagnetic Encapsulates: A Versatile and Nontoxic Carbon Nanomaterial,’  ACS Nano, 7 (12) 10552—10562.
Publisher Google Scholar

2.    Böttger-Hiller, F., Kempe, P., Cox, G., Panchenko, A., Janssen, N., Petzold, A., Thurn-Albrecht, T., Borchardt, L., Rose, M., Kaskel, S., Georgi, C., Lang, H., and Spange, S. (2013), ‘Twin Polymerization at Spherical Hard Templates: An Approach to Size-Ajustable Carbon Hollow Spheres with Micro- and Mesoporous Shells,’ Angewandte Chemie International Edition, 52 (23) 6088—6091.
PublisherGoogle Scholar

3.    Brüggert, M., Hu, Z., and Hüttinger, K. J. (1999) ‘Chemistry and kinetics of chemical vapor deposition of pyrocarbon. VI. Influence of temperature using methane as a carbon source,’ Carbon, 37 (12), 2021—2030.
Publisher Google Scholar

4.    Chen, D., Ji, G., Ma, Y., Lee J. Y., and Lu J. (2012 a) ‘Graphene-Encapsulated Hollow Fe3O4 Nanoparticle Aggregates as a High-Performance Anode Material for Lithium-Ion Batteries,’ Applied Materials & Interfaces, 3 (8), 3078—3083 .

5.    Chen, X., Kierzek, K., Cendrowski, K., Pelech, I., Zhao, X., Feng, J.,  Kalenczuk, R. J., Tang, T., and Mijowska, E. (2012 b) ‘CVD generated mesoporous hollow carbon spheres as supercapacitors,’ Colloids and Surfaces A: Physicochemical and Engineering  Aspects, 396, 246—250.
Publisher Google Scholar 

6.    Cullis C.F., Manton J.E., Thomas G.B., and Wilman H. (1959) ‘The Structure and Crystal Growth of Carbon Deposits Formed by Pyrolysis of Some Hydrocarbons and Chlorohydrocarbons,’ Acta Crystallographica, 12 (5), 382—384.
PublisherGoogle Scholar

7.    Davydov, S. Yu., Kryukov, A. Yu., Gerya V. O., Izvol’skii I. M., and Rakov, E. G. (2012) ‘Preparation of a Platelike Carbon Nanomaterials Using MgO as a Template,’  Russian Journal of Physical Chemistry,  48 (3) 244—248.
Google Scholar

8.    Hayashi, T., Hirono, S., Tomita, M., and Unemura, S. (1996) ‘Magnetic thin films of cobalt nanocrystals encapsulated in graphite-like carbon,’ Nature, 381 (6585) 772—774.
PublisherGoogle Scholar

9.    He, G., Evers, S., Liang, X., Cuisiner, M., Garsuch, A., and Nazar, L. F. (2014) ‘Tailoring Porosity in Carbon Nanospheres for Lithium-Sulfur Battery Cathodes,’ ACS Nano, 7 (12), 10920—10930.

10.    Hussain S.T., Iqbal M. (2011) ‘Pyrolysis of methane by catalytic properties exhibited by ceramics,’ Journal of Analytical and  Applied Pyrorysis, 90 (2) 106—111.
Publisher Google Scholar

11.    Inagaki, M., Miura, H., and Konno, H. (1998) ‘A new simple process for carbon coating of ceramic particles using poly(vinyl chloride),’ Journal of  European Ceramic  Society, 18 (8)  1011—1015.
PublisherGoogle Scholar

12.    Inagaki, M., Kobayashi, S., Kojin, F., Tanaka, N., Morishita, T., and Tryba, B.  (2004) ‘Pore structure of carbon coated on ceramic particles,’ Carbon, 42 (15) 3153—3158.
Publisher Google Scholar

13.    Inagaki, M., Morishita, T., Toyoda, M., Tsumura, T., and Konno, H. (2006) ‘Carbon Coatings of  Ceramics,’ Tanso, 2006  (224)  308—317.

14.    Ismach, A., Druzgalski, C., Penwell, S., Schwartzberg, A., Zheng, M., Javey, A., Bokor, J., and Zhang, Y.  (2010)‘Direct chemical vapor deposition  of  graphene on dielectric surfaces,’ Nano Letters, 10 (5) 1542—1548.
PublisherGoogle Scholar

15.    Jayaprakash, N., Shen, J., Moganty, S. S., Corona, A., and Archer, L. A. (2011) ‘Porous Hollow Carbon@Sulfur Composites for Higy-Power Lithium-Sulfur Batteries,’ Angewandte Chemie International Edition, 50 (26), 5904—5908.
Publisher Google Scholar

16.    Jerng, S. K., Yu, D. S., Kim, Y. C., Ryou, J., Hong, S., Kim, C., Yoon, S., Efetov, D. K., Kim, P., and Chun, S. H. (2011, a) ‘Nanocrystalline graphite grown on sapphire by carbon molecular beam epitaxy,’ Journal of Physical Chemistry C, 115 (11) 4491—4494.
Publisher Google Scholar

17.    Jerng, S. K., Yu, D. S., Lee, J. H., Kim, C., Yoon, S., and Chun, S.-H. (2011, b) ‘Graphitic carbon growth on crystalline and amorphous oxide substrates using molecular beam epitaxy,’  Nanoscale Research Letters, 6 (1) 565—574.
Publisher Google Scholar 

18.    Kaplas, T. and Svirko, Yu. (2012) ‘Direct deposition of semitransparent conducting pyrolytic carbon films,’ Journal of Nanophotonics, 6 (1) 061703.
PublisherGoogle Scholar

19.    Kim, M., Yoon, S. B., Sohn, K., Kim, J. Y., Shin, C.-H., Hyeon, T., and Yu, J.-S. (2003) ‘Synthesis and characterization of spherical carbon and polymer capsules with hollow macroporous core and mesoporous shell structures,’ Microporous and Mesoporous Materials, 63 (1—3)  1—9.  
PublisherGoogle Scholar

20.    Kim, J. H., Fang, B., Yoon, S. B., and Yu, J.-S. (2009) ‘Hollow core/mesoporous shell carbon capsule as an unique cathode catalyst support in direct methanol fuel cell,’ Applied Catalysis B: Environmental, 88 (3—4)  368—375.
PublisherGoogle Scholar

21.    Li, L., Seng, K., Chen, Z., Liu, H., Nevirkovets, I. P., and Guo, Z. (2013) ‘Synthesis of Mn3O4-encapsulated graphene sheet nanocomposites via a facile, fast microwave hydrothermal method and their supercapacitive behavior,’Electrochimica Acta, 87  801—808.
Publisher Google Scholar

22.    Liu, J., Zhu, Y., Liang, J., and Qian, Y. (2012) ‘Synthesis of In3O3/Carbon Core-Shell Nanospheres and their Electrochemical Performance,’ International Journal of Electrochemical Science, 7 (2012) 5574—5580.

23.    Qiao, Z. A., Guo, B., Binder, A. J., Chen, J., Veith, G. M., and Dai S. (2013) ‘Controlled synthesis of mesoporous carbon nanostructures via a “silica-assisted” strategy,’  Nano Letters, 13 (1) 207—212.

24.    Rümmeli, M. H., Kramberger, C., Grüneis, A., Ayala, P., Gemming, T., Büchner, B., and Pichler, T. (2007)
‘On the Graphitization Nature of Oxides for the Formation of Carbon Nanostructures,’ Chemistry of Materials , 19 (17) 4105—4107.
PublisherGoogle Scholar

25.    Rümmeli, M. H., Schäffel, F., de los Arcos, T., Haberer, D., Bachmatiuk, A., Kramberger, C., Ayala, P., Borowiak-Palen, E., Adebimpe, D., Gemming, T., Leonhardt, A., Rellinghaus, B., Schulz, L., Pichler, T., and Büchner, B. (2008) ‘On the graphitization role of oxide support in carbon nanotube CVD synthesis,’  Physica Status Solidi B, 245 (10) 1939—1942.
Publisher Google Scholar

26.    Rümmeli, M. H., Bachmatiuk, A., Scott, A., Börrnert, F., Warner, J. H., Hoffmann, V., Lin, J. H.,  Cuniberti, G.,  and Büchner B. (2010 a) ‘Direct Low-Temperature Nano-Graphene Synthesis over a Dielectric Insulator,’  ACS Nano, 4 (7) 4206—4210.
PublisherGoogle Scholar

27.    Rümmeli, M. H., Shäffel, F., Bachmatiuk, A., Adebimpe, D., Trotter, G., Börrnert, F., Scott, A., Coric, E., Sparing, M., Rellinghaus, B., McCormic, P. G., Cuniberti, G., Knupfer, M., Schultz, L., and Büchner, B. (2010 b) ‘Investigating the Outskirts of Fe and Co Catalyst Particles in Alumina-Supported Catalytic CVD Carbon Nanotube Growth,’ ACS Nano, 4 (2) 1146—1152.
Publisher Google Scholar

28.    Scott, A., Dianat, A., Börrnert, F., Bachmatiuk, A., Zhang, S.,  Warner, J. H., Borowiak-Paleń, E., Knupfer, M., Büchner B., Cuniberti, G., and  Rümmeli, M. H. (2011) ‘The catalytic potential of  high-k dielectrics for graphene formation,’ Applied Physics Letters, 98 (7)  073110.
PublisherGoogle Scholar

29.    Shin, E. S., Kim, M. S., Cho, W. I., and Oh, S. H. (2013) ‘Sulfur/graphitic hollow carbon sphere nanocomposite as a cathode material for high-power lithium-sulfur battery,’ Nanoscale Research Letters, 8 (1) 343—354.
Publisher Google Scholar

30.    Su, F., Zhao, X. S., Wang, Y., Wang, L., and Lee J. Y. (2006) ‘Hollow carbon spheres with a controllable shell structure,’ Journal of Materials Chemistry, 16 (45) 4413-4419.
PublisherGoogle Scholar

31.    Teunissen, W., de Groot, F. M. F., Geus, J., Stephan, O., Tence, M., and Colliex, C., (2001)
‘The Structure of Carbon Encapsulated NiFe Nanoparticles,’ Journal of Catalysis, 204 (1) 169—174.
Publisher Google Scholar

32.    Wang, S., Huang, X., He, Y., Huang, H., Wu, Y., Hou, L., Liu, X., Yang, T., Zou, J., and Huang, B. (2012)‘Synthesis, growth mechanism and thermal stability of copper nanoparticles encapsulated by multi-layer graphene,’Carbon, 50 (6) 2119—2125.
PublisherGoogle Scholar

33.    Wang, D., Tian, H., Yang, Y., Xie, D., Ren, T.-L., and Zhang, Y. (2013) ‘Scalable and Direct Growth of Graphene Micro Ribbons on Dielectric Substrates,’  Scientific Reports, 3, 1348. DOI: 10.1038/srep01348.
PublisherGoogle Scholar

34.    Wen, Y., Zhu, Y., Langrock, A., Manivannan, A., Ehrman, S. H., and Wang, C. (2013)
‘Graphene-Bonded and Encapsulated Si Nanoparticles for Lithium Ion Battery Anodes,’ Small, 9 (16) 2810—2816.
Publisher Google Scholar

35.    Xuan, S., Hao, L., Jiang, W., Gong, X., Hu, Y., and Chen, C. (2007)
‘A facile method to fabricate carbon-encapsulated Fe3O4 core/shell composites,’ Nanotechnology, 18 (3)  035602.
Publisher Google Scholar

36.    Yan, Z.,  Peng, Z., Sun, Z., Yao, J., Zhu, Y., Liu, Z., Ajayan, P. M.,  and Tour, J. M. (2011)
‘Growth of bilayer graphene on insulating substrates,’  ACS Nano, 5 (10) 8187—8192.
PublisherGoogle Scholar

37.    Yang, S., Feng, X., Ivanovichi, S., and Müllen, K. (2010) ‘Fabrication of Graphene-Encapsulated Oxide Nanoparticles: Towards High-Performance Anode Materials for Lithium Storage,’ Angewandte Chemie International Edition, 49 (45), 8408—8411.
PublisherGoogle Scholar

38.    Yoon, S. B., Sohn, K., Kim J. Y., Shin, C.-H., Yu, J.-S., and Hyeon, T. (2002) ‘Fabrication of Carbon Capsules with Hollow Macroporous Core/Mesoporous Shell Structures,’ Advanced Materials, 14 (1) 19—21.
PublisherGoogle Scholar

39.    Zhu, S., Zhang, D., Chen, Z., and Zhang, Y. (2009) ‘Controlled synthesis of core/shell magnetic iron oxide/carbon systems via a self-templated method,’  Journal of Materials Chemistry, 19 (41)  7710—7715.
PublisherGoogle Scholar

 
 
Shares