Genetic Diversity Between and Within Sudanese Zebu Cattle Breeds Using Microsatellite Markers

Ibrahim H. Hussein1, Sally S Alam2, Abdel Aziz A. Makkawi3, Salah-Eldein A. Sid-Ahmed4, Ahmed S Abdoon5 and Mohamed S. Hassanane6

1Ministry of Animal wealth’s, State of south kordofan, Sudan
   
2,6Cell Biology Department, National Research Center, Dokki, Giza, Egypt

3,4
Animal production Department, Faculty of Agricultural Studies, Sudan

University of Science and Technology, Khartoum North, Sudan

5Animal Reproduction and A.I. Department, National Research Center, Dokki, Giza, Egypt

Cite this Article as:

Ibrahim H. Hussein, Sally S Alam, Abdel Aziz A. Makkawi, Salah-Eldein A. Sid-Ahmed, Ahmed S Abdoon and Mohamed S. Hassanane (2015), “Genetic Diversity Between and Within Sudanese Zebu Cattle Breeds Using Microsatellite Markers ”, Research in Genetics, Vol. 2015 (2015), Article ID 135483, DOI: 10.5171/2015.135483

Copyright © 2015. Ibrahim H. Hussein, Sally S Alam, Abdel Aziz A. Makkawi, Salah-Eldein A. Sid-Ahmed, Ahmed S Abdoon and Mohamed S. Hassanane . Distributed under Creative Commons CC-BY 4.0

Abstract

The aim of the present study was to assess the genetic variation and establish the relationship between and within three Sudanese zebu cattle breeds using panel composed from 9 bovine specific microsatellite markers recommended by the International Society of Animal Genetics (ISAG). The study was performed on a total of 75 unrelated cattle individuals from Fuga, Kenana and Butana breeds. A total of 74 microsatellite alleles were identified with number of alleles at one locus ranging from 5 to 12 alleles. Sharing allele analysis showed no unique allele for any breed studied. High values for the observed heterozygosity were found all over the loci and the three breeds studied: Fuga (0.778); Butana (0.737) and Kenana (0.692). Moreover, gene diversity was also high for the 9 microsatellite studied in the three breeds. Its overall value was 0.684 with values of 0.778, 0.737 and 0.692 for three breeds: Fuga, Butana and Kenana; respectively. Inbreeding values proved the absence of inbreeding between the three breeds as well as within breeds. Drawing phylogeny tree between the breeds prove that Butana and Kenana are within one cluster while Fuga is in another cluster, the three breeds are then coming from one ancestor. The observed high genetic diversity along with the high values observed for heterozygosity, in the three breeds studied, can be used in designing good programs for genetic improvement in Sudanese zebu cattle. This study reports on a comprehensive study of the genetic structure and diversity of Sudanese zebu cattle breeds. Significant amount of genetic variability in the three local Sudanese zebu cattle were observed. This genetic information revealed that Sudanese zebu cattle breeds constitute important and diverse bank of genetic diversity for bovine breeding and conservation. The obtained genetic data shaded light on some issues related to the local Sudanese zebu cattle breeds origin and structure. The study proved that Sudanese zebu cattle breeds are important and viable targets for conservation for they display special traits both phenotypic and of cultural and historical nature that should earn conservation efforts.

Keywords: Zebu, microsatellite, Sudan, cattle, genetic diversity.

Introduction

It is well known that local breeds of cattle can play a vital role in relevant and sustainable livestock production in most Eastern African if it is compared with exotic breeds; these local breeds are well adapted to survive and reproduce under the region’s harsh environments (Okomo-Adhiambo, 2002). After the recent Sudan referendum, the population of North Sudanese cattle was estimated around 17.465 million heads (Saeed, 2010). In Sudan there are many local cattle breeds including zebu and taurine species. Some authors tried to classify the Sudanese local cattle breeds on the basis of their origin and phenotypic characteristics. The Sudanese local cattle breeds were classified by Bennett et al. (1948) into three main groups; namely, Northern or Arab, Southern or Nilotic and the small cattle of the Nuba mountains. Most of the Sudanese cattle are from the Zebu cattle (Bennett et al., 1954), the Sudanese Kenana and  Butana cattle breeds are part of the Large East African Zebu group (Bos indicus) descended from the zebu introduced into Africa from West Asia. Available archaeological records indicate that they are the most recent types of cattle to be introduced into Africa (Marshall, 2000). According to Joshi et al. (1957) and Payne (1970), the Northern Sudan cattle include Kenana, Butana, Western Baggara, White Nile and Northern Provinces. Other types of Northern Sudan Zebu cattle include Ayrashai (of eastern Sudan), Fuga or Dar El Reeh cattle of the North Kordofan, which is also from the zebu type (WSRMP Livestock Breed Characterizations Study, 2011).  However, these classifications are based on phenotypic characteristics or geographic origin and are not related to genotype except in as much as the phenotype is in part a reflection of genotype. With the advent of molecular biology technology, a powerful new tool is available for characterization, classification and estimation of distances between breeds and strains.

The investigation of genetic variation is very important for future monitoring of gene flow in populations, conservation of species, determination of the level of inbreeding and crossbreeding within and between breeds (Hetzel and Drinkwater, 1992; Kunene et al., 2007). In the last decade, microsatellite markers were extensively used to determine the genetic diversity and relationships among cattle breeds that has been documented in many studies (Rogić et al., 2011; Medugorac et al., 2009 Jordana et al., 2003; Metta et al., 2004; Mukesh et al., 2004). Since microsatellite markers are co-dominant and multi-allelic attributes, they prove to be efficient in genetic diversity studies, and had become the most markers of choice in characterization of cattle breeds (Rehman and Khan 2009; Edwards et al., 2000; Canon et al., 2001). To our best knowledge, there are no previous studies on microsatellites polymorphism in cattle raised in Sudan. The present study was carried out for employing the microsatellite polymorphisms in three different Sudanese cattle breeds: Fuga, Butana, and Kenana, for identifying the genetic relationship within and between these three breeds, inbreeding measurements, determining the purity of these breeds, finally calculating the genetic distance and drawing the phylogenic tree between these breeds.

Materials and Methods

Blood Samples and DNA Extraction

Ninety blood samples were collected from three different regions representing the three cattle breeds under study, randomly selected pure adult breed: Dar el Reeh (Fuga); Butana and Kenana. The blood sample was collected on a tube supplied with 0.5 ml of 0.5 M EDTA (as an anticoagulant). Bovine genomic DNA was isolated and purified using phenol-chloroform and ethanol precipitation (Sambrook et al., 1989). DNA concentration was determined using a UV spectrophotometer at optical density of 260 nm.

Microsatellite Analysis

 Commercial one PCR multiplex (Bovine Genotypes™ Panel 1.2, F-904), obtained from Finnzyme Company (Finland), consists of nine fluorescence-labeled microsatellite primers were used for the analysis. The multiplex contained the microsatellites: ETH10, ETH225, BMC1824, BMC2113, SPS115, TGLA122, TGLA126, TGLA227, INRA23, the multiplex is under the recommendation of ISAG (2012). For amplification, 100 ng of genomic DNA was added to a reaction mixture containing 50 pMol of fluorescence-labeled forward and reverse primers; 200 μM of every dNTPs; 1.5 mM of MgCl2 and 0.5U of Taq polymerase in a final volume of 25 μl. The amplification procedure was: initial denaturation step of 1 min at 95°C, 35 cycles of 1 min at 95°C, annealing 1 min at 57°C  and 1 min at 72°C and a final extension of 5 min at 72°C. Amplicons obtained by PCR were separated by electrophoresis on an ABI 3730 instrument (Applied Biosystems) according to manufacturer recommendations and allele sizing was accomplished by using the internal size standards GeneScan 500 LIZ (Applied Biosystems). Allele nomenclature followed was that recommended by the Cattle Molecular Markers and Parentage Testing Workshop at the International Society of animal genetics (ISAG) Conference of Cairns in 2012.

Statistical Analysis

For calculating the allele frequencies, observed number of alleles, effective number of alleles (Kimura and Crow, 1964). Observed (Ho) and expected (He) heterozygosity at each locus in the three populations under study, polymorphism information content (PIC) value for each locus was calculated by using the method of Bostein et al.  (1980). Pair-wise sharing alleles were calculated manually from the raw results using the variance-base method described by Weir and Cockerham (1980). All the previous calculations were in a software package called POPGENE which is developed by Yeh et al. (1999). Fisher statistics for population differentiation was computed using FSTAT version 2.9.3.2 computer program (Goudet, 2002). The calculated parameters included: mean a standard deviations of the F-statistics program, F .f, that are analogue to Wright’s (1951, 1978). Inbreeding estimates within the same breed (Fis) and between breeds (Fst) were obtained across breeds by the Jackknifing procedure over loci (Weir, 1990). The island model under neutrality and negligible mutation proposed by Slatkin (1985) was used to calculate the effect of migration and gene flow on the genetic structure of the analyzed populations. Calculations proposed by Nei et al. (1972) were used to identify genetic distances among populations, using (Ds) standard genetic distance and the DA distance of Nei et al. (1983).

Results                          

In the present study nine bovine microsatellites markers: BM1824, BM2113, INRA023, SPS115, TGLA122, TGLA126, TGLA227, ETH10, ETH225 were analyzed in three different breeds of cattle found in Sudan (Fuga, Butana, and Kenana). TGLA122 presenting the highest number of allele per locus (12), while BM1824 presented the lowest (5) number of alleles. The results regarding the numbers of shared alleles between the different populations under study are presented in Table (1).The mean number of alleles shared between Fuga and Butana is 4.4, between Fuga and Kenana is 8.6 and between Butana and Kenana is 4, whereas the mean number of the alleles shared by the three breeds is 3.8. Except for the marker INRA023 and TGLA126 which gave only 4 and 5 alleles, respectively present in all the populations, the allele sharing results did not show any obvious results, unique or specific alleles for specific region or population.

Table 1: Number of shared alleles between the Sudanese zebu cattle breeds

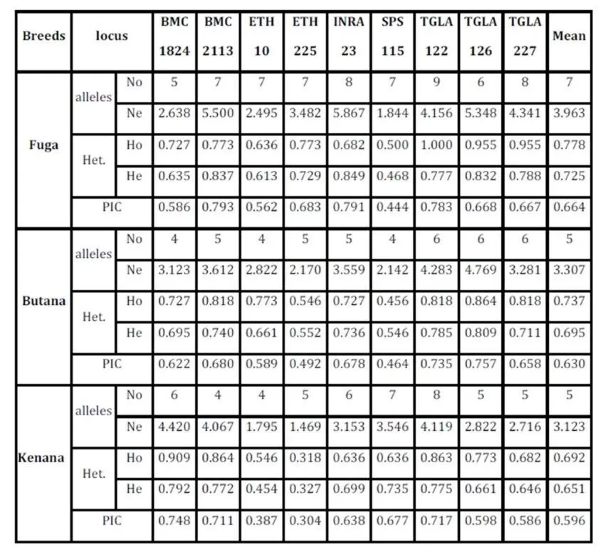
The estimated parameters correlated to genetic polymorphism in three Sudanese zebu cattle breeds viz., observed and effective numbers of alleles, heterozygosity (observed and expected) are presented in Table (2). Reasonable amount of variability in the three studied breeds was clearly observed from the allele frequency data. A total of 74 alleles were detected across the 9 loci with an average of 7, 5 and 5 alleles per locus (mean number of alleles in Fuga, Butana and Kenana breeds, respectively). The number of observed alleles ranged from 5 at locus BMC1824 to the highest of  9 alleles at loci TGLA 122 in Fuga, and 4 (BMC1824, ETH10, SPS115) to 6 (TGLA  122, TGLA 126, TGLA 227)  in Butana and  4 (BMC2113, ETH10) to 8 (TGLA  122) in Kenana

Table 2: Microsatellite alleles (No, observed number of alleles; Ne, effective number of alleles), heterozygosity (Ho, observed; He, expected) and polymorphism information content (PIC) at each locus in the Sudanese zebu cattle breeds

The highest mean effective number of alleles (3.963) was observed in Fuga cattle when compared with the Butana (3.307) and Kenana (3.123) breeds. The Ne values were in range of 5.867 (INRA23) to 1.844 (SPS115) in Fuga and 2.142 (SPS115) to 4.769 (TGLA 126) Butana cattle and 1.469 (ETH225) to 4.420 (BMC1824) in Kenana. The observed mean (Ho) and expected (He)  heterozygosity were  0.778  and 0.725 in Fuga vs. 0.737 and 0.695 in Butana and 0.693 and 0.651 in Kenana  cattle, respectively. The difference between the observed and expected values (chi- square) was highly significant at p < 0.01 for all the markers in all the populations studied. The values of Polymorphism Information Content (PIC) varied from 0.304 (ETH225) in Kenana to 0.793 (BMC3113) in Fuga breed. The overall mean values of (PIC) obtained in the present study were 0.664 in Fuga, 0.630 in Butana and 0.596 in Kenana.

Concerning the results of the gene diversity for the nine microsatellites in the three breeds studied, the results are presented in Table (3). The average gene diversity over all loci were 0.684, while for individual loci the average gene diversity ranged between 0.461 (ETH10) in Kenana breed and 0.885 (TGLA122) in Fuga breed.

Table 3: Average gene diversity for the different microsatellites in Sudanese zebu breeds

Results of F-statistics for each of the nine loci across breeds are presented in Table (4). The global deficit of heterozygotes across populations (Fit) amounted to 0.1%.  An overall mean of deficit of heterozygotes (Fis) is -0.091. The overall genetic differentiation among breeds (Fst) was moderate (8.4%) but highly significantly different from zero. The highest Fst values were found for SPS115 (0.235), TGLA122 (0.113), TGLA227 (0.105). Estimates of gene flow (Nm) value indicate a high rate of genetic flow between the populations (2.714).

Table 4: Results of F-statistics for each of nine markers across all the Sudanese zebu cattle breeds

* Nm = Gene flow estimated from Fst = 0.25(1- Fst)/Fst.

A further breakdown of within-the breeds inbreeding estimates {Fixation index statistics (Fis = f)} at each microsatellite locus in the three Sudanese breeds under study are presented at Table (5). It is observed that the lowest Fis value was found in Butana (-0.830) as compared with Kenana   (-0.195) and Fuga (-0.317)

Table 5: Inbreeding estimates (Fis = f) within the Sudanese zebu cattle breeds

Estimation of the divergence time for three breeds is presented at Table (6). Estimation of Nei’s standard genetic distances (Ds) and assumed mutation rates of microsatellites loci (α) were used to estimate the time of divergence (t, in generations) Where, Ds= 2αt.The Ds method described by Nei (1972) for determining genetic distances was used. Genetic distance measures the time that has elapsed since populations were genetically equivalent. The results demonstrated that the biggest divergence time (1407 years) was between the Fuga and Butana cattle; in contrast the lowest divergence time (343 years) was between Butana and Kenana.

 

Table 6: Estimated divergence time of the breeds under study on the basis of the 9 microsatellite loci studied

Genetic distance matrix declared that the highest genetic distance was found between Fuga and Butana breeds (0.482). The lowest value for genetic distance was found between Kenana and Butana (0.118) (Table 7).

Table 7: Genetic Identity and Genetic Distance (Nei 1972) for all loci and all breeds, Nei’s genetic identity (above diagonal) and genetic distance (below diagonal)

High values for genetic identity means low values for genetic distance and vice versa. The Dendrogram is based on Nei’s (1972) using Genetic distance: Method = UPGMA (computer software), modified from NEIGHBOR procedure of PHYLIP Version 3.5 was used to draw the phylogeny tree between the three breeds understudy. The dendrogram showed that the Butana and Kenana are within one cluster while Fuga is in another cluster, (Fig 1).

Discussion

The sustainability of species and populations in the future is affected by the genetic diversity which shaped the past populations process (Soule, 1987). Maintaining of genetic diversity is a key to the long-term survival of most species including cattle (Hall and Bradley 1995). Many studies proved that farm animal genetic diversity is needed to meet current production requirements to allow sustained genetic improvement and to facilitate the rapid adaptation to changing breeding goals (Hall and Bradley 1995; Kumar et al. 2006). Diversity can be defined as the genetic variation between and within different breeds, so it is essential to characterize a breed for its conservation. Microsatellites markers are the best genetic marker have been used successfully to define genetic structures and genetic relationships among different breeds. Microsatellites usually show higher numbers of alleles and subsequently polymorphism. Consequently, they enable population differentiation to be found more efficiently. Microsatellites markers especially autosomal had been the most used genetic markers to estimate genetic diversity and to investigate different breed relationships moreover to define conservation priorities (Lenstra et al., 2012).

Neutral genetic diversity preservation is expected to contribute to maintaining specific breed traits due to natural and manmade selection.

Indeed, some microsatellites can be present in genes associated with important quantitative traits loci (QTLs) including adaptation (Hall et al., 2012).

Previous  studies have been performed concerning genetic diversity and relationship between three local cattle populations (Gangatiri, Shahabadi and Purnea) and two established cattle breeds (Bachaur and Siri) of eastern India by using 21 FAO and ISAG recommended microsatellite markers (Sharma et al., 2013). In a study conducted by Rehman and Khan (2009) for identification the genetic diversity of Hariana and Hissar Pakistani cattle breeds using 30 bovine microsatellite markers suggested by a joint committee of the Food and Agriculture Organization and the International Society for Animal Genetics. However, no information is available on gene differentiation among different cattle breeds raised in Sudan. In the present study, genetic variation within and between three Sudanese cattle breeds named: Fuga, Butana, and Kenana were estimated using genotypic data of 9 microsatellite markers recommended by ISAG (2012) for such studies. The total numbers of animals genotyped were 75 animals, 25 animals from each breed. Out of the 9 microsatellite loci, 74 loci amplified successfully and produced definite banding patterns. Since it is observed a large numbers of alleles for these microsatellite markers, these markers could be fruitfully used in further studies on quantitative trait loci (QTL) detection and subsequently marker assisted selection (MAS). However, the allele sharing results did not show any obvious unique or specific alleles for specific breed. This is may come from the lack of breeding programs or in another words the absence of selection for genetic improvement.

The average of observed allele number was 8 alleles; this number lies within the range of 6-9 alleles, which was reported in many cattle breeds from Europe (MacHugh et al., 1997, 1998), Africa (MacHugh et al., 1997; Ibeagha-Awemu et al., 2004); Brazil (Egito et al., 2007). From another side, the observed average allele number is less than that reported for Indian zebu cattle, which is ranging from 4-16 (Mukesh et al., 2004; Chaudhari et al., 2009, Sodhi et al., 2011). This may be due to the large number of cattle breeds raised in India and the microsatellite used in the study, some microsatellites can produce more allele than others. The observed number of alleles demonstrated that almost all the microsatellite loci utilized in the present study were sufficiently polymorphic. All breeds showed that by the increase of number of alleles at different loci, there was an increase in mean genetic diversity in population and supported by Moioli et al. (2001). This is an indication for the high ratio of heterozygosity which arises from the absence or weak selection or organized breeding programs for the Sudanese cattle. The effective number of alleles (Ne) can be identified as an estimate for the number of alleles with equal frequencies corresponding to a particular PIC value. Fuga cattle have the highest mean effective number of alleles (3.963) when compared with the Butana (3.307) and Kenana (3.123) breeds. The observed mean (Ho) and expected (He)  heterozygosity were  0.778  and 0.725 in Fuga vs. 0.737 and 0.695 in Butana and 0.693 and 0.651 in Kenana  cattle, respectively. In all the three breeds studied and for all the markers used, there were few individuals carrying homozygous alleles. Accordingly the values of the expected heterozygosity were very high for all the markers and populations under study. The values of observed heterozygosity were higher than the expected heterozygosity indicates much of variability.

The Polymorphism Information Content (PIC) is an expected heterozygosity derived from allele frequencies in random mating populations. PIC is an indicator of how many alleles a certain marker has how much these alleles divided evenly. For example if a marker has many alleles but only one of them is frequent, the PIC will be low. The overall mean values of (PIC) obtained in the present study were 0.664 in Fuga, 0.630 in Butana and 0.596 in Kenana. While The average gene diversity over all loci were 0.684 that is almost similar to the previously reported by Loftus et al. (2002), which was 0.78 during their study concerning the identification of zebu alleles in some cattle breeds. There was a significant positive relationship between averages within population gene diversity for each locus. Kalinowski (2002) observed high values of (PIC) and attributed it to the large number of alleles or heterozygosity. The observed high number of alleles may be attributed to the absence of selection pressure used for the improvement of draught characters. These findings are in agreement with Muralidhar (2003), who used ten microsatellite markers and obtained PIC values in Indian cattle which ranged from 0.150 to 0.790 in Ongole cattle breed and from 0.13 to 0.80 in Deoni cattle breed. Moreover, Rehman and Khan (2009) demonstrated that the value of PIC was 0.749 in Hariana and 0.719 in Hissar cattle.  Higher PIC values were also seen in the Brazilian and Indian zebu cattle investigated earlier using microsatellite markers (Egito et al., 2007; Pandey et al., 2006; Kale et al., 2010 and Sodhi et al., 2011).

According to Holsinger and Weir (2009), Wright’s F-statistics provide important insights into evolutionary processes that influence the structure of genetic variation within and between populations, for that they are most widely used descriptive statistics in population and evolutionary genetics. Hart and Clark (1997), measures the heterozygote deficit relative to its expectation under HWE (Fst). Regarding the interpretation of fixation index (Fst), it had been accepted that a value ranging between  0 to 0.05 indicates low genetic differentiation; a value ranging between 0.05 and 0.15, medium differentiation; a value ranging between 0.15 and 0.25 big differentiation; and a value above 0.25, very big genetic differentiation (Wright, 1978; Balloux and Lugon-Moulin, 2002). Accordingly in our study Moderate genetic differentiation (Fst) among breeds (8.4%) implies that 91.6% of the total genetic variation corresponds to differences among individuals. In addition, a very low inbreeding rates (Fit= 0.1%) between the three breeds was detected that means absence of inbreeding between the populations under study.

Genetic differentiation of similar magnitude has been reported among 12 African Bos indicus and Bos taurus cattle breeds (Ibeagha-Awemu and Erhardt, 2005). However, Figures is higher than the 7 % of the total genetic variability (mean FST=0.07) reported by Canon et al. (2001) among local European cattle breeds and much more higher than the 1.6% given by Ibeagha-Awemu and Erhardt (2006) among Red Bororo and White Fulani cattle breeds of Nigeria and Cameroon. However, the same value was found among 12 African Bos indicus and Bos taurus cattle breeds (Ibeagha-Awemu and Erhardt, 2005).

In this study Fst value may indicate the presence of gene flow between cattle breeds. The highest gene flow between breeds was found in the marker INRA023 (8.8508), while the lowest gene flow was shown in the marker SPS115 (0.814). On the other hand, the presence of gene flow between these breeds may be due to their common origin (Canon et al., 2000).

The inbreeding estimates were calculated using the FIS values (Wright’s Fixation Index). This revealed that Sudanese breeds are having wider genetic variability. It is observed that the lowest Fis value was found in Butana (-0.830) as compared with Kenana (-0.195) and   Fuga (-0.317) with an overall mean of deficit of heterozygotes (Fis) is (-0.091). This negative mean value 0.091 suggests that 9.1% of heterozygous excess individuals available in the breed and the samples were collected from highly heterozygous breed. This high heterozygosity values are comparable with Umblachery cattle breed (-0.0487) (Karthickeyan et al., 2007). In contrast to our results, Metta (2004) reported in Indian Ongole cattle breed a high Fis values (0.36) and the author  attribute this high value to the small sample size studied (n=17). Similar results were obtained by Sharma et al., (2006) in their study on Indian Bachaur cattle breed (Fis=0.22) and Sharma et al., (2007) in Indian Gangatiri cattle breed (Fis=0.31). The estimated time of divergence revealed that the biggest divergence time (1407 years) was between the Fuga and Butana cattle; in contrast the lowest divergence time (343 years) was between Butana and Kenana. These results are confirming the phylogeny dendrogram obtained using UPGMA method that proved that Butana and Kenana are within one cluster while Fuga is in another cluster; the three breeds are then coming from one ancestor. This result could be logic due to raising of both the Kenana and Butana cattle in near or close areas as they raised in north of Sudan while Fog were raised in the North Kordofan (Yousif and Fadl El- Moula, 2006).

In conclusion, this study reports on a comprehensive study of the genetic structure and diversity of three native zebu cattle breeds in Sudan. The genetic analysis data showed that a significant amount of genetic variation is maintained in the three studied Sudanese local zebu cattle breeds and all breeds studied could be considered as distinct genetic content. The three breeds displayed a markedly higher allelic richness most likely as a result of a combination of natural selection in diverse environmental conditions. Several authors declared that the amount and distribution of genetic diversity should be taken into account when dealing with conservation strategies of livestock species. It should be also taken into consideration that cultural, historical, and traditional aspects regarding the use of particular breeds are relevant issues. Moreover, it should be realized the fact that directional selection for genetic improvement achieved by animal breeders has shaped animal genomes in unexpected ways through choosing the good or favorite alleles or genes structures for which the surrogate neutral markers used in diversity surveys are not necessarily fully representative.

References

1. Balloux, F., and Lugon-Moulin, N. (2002) “The estimation of population differentiation with microsatellite markers,” Molecular Ecology, 11: 155—165.
Google Scholar

2.  Bennett, S. C. J., John, E. R. and Hewison J W. (1948) “Animal husbandry,” In: J D To thill (ed), Agriculture in The Sudan. Oxford University Press, London, UK.

3.  Bostein, D., White, R.L., Skolnick, M., and Davis, R. W. (1980) “Construction of genetic linkage maps in man using restriction fragment length polymorphism,” Am. J. Hum. Genet., 32: 314—331.
Google Scholar

4. Canon, J., Alexandrino, P., Bessa, I., Carleos, C., and Carretero, Y. (2001) “Genetic diversity measures of local European beef cattle breeds for conservation purposes,” Genet. Sel. Evol., 33: 311—332.
PublisherGoogle Scholar

5.    Canon, J., Checa, M.L., Carleos, C., Vega-Pla, J.L., Vallejo, M., Dunner, S. (2000) “The genetic structure of Spanish Celtic horse breeds inferred from microsatellite data,” Anim. Genet., 31 (1): 39—48.
PublisherGoogle Scholar

6.  Chaudhari, M.V., Parmar, S.N.S., Joshi, C.G., Bhong, C.D., Fatima, S., Thakur, M.S. and Thakur, S.S. (2009) “Molecular characterization of Kenkatha and Gaolao (Bos indicus) cattle breeds using microsatellite markers,” Anim Biodivers Conserv., 32(2): 71—76.
Google Scholar

7.  Edwards, C.J., Gaillard, C., Bradley, D.G. and MacHugh, D.E. (2000) “Y-specific microsatellite in a range of bovid species,” Animal Genetics, 31: 127—130.
PublisherGoogle Scholar

8.    Egito, A.A., Paiva, S.R., Albuquerque, M.M., Mariante, A.S., Almeida, L.D., Georges, M. and Massey J.M. (1992) “Polymorphic DNA markers in Bovidae,” Patent WO 92/13102 1992.

9. Goudet, J. (2002) “FSTAT Computer Package for PCs,” Institute of Ecology, UNIL, Lausanne, Switzerland.

10. Hall, S.J.G. and Bradley, D.G. (1995) “Conserving livestock breed biodiversity,” Trends  Ecol. Evol., 10: 267-270.
PublisherGoogle Scholar

11. Hall, S.J.G., Lenstra, J.A., and Deeming, D.C. (2012) “Prioritization based on neutral genetic diversity may fail to conserve important characteristics in cattle breeds,” J. Anim. Breed. Genet., 129: 218-225.
PublisherGoogle Scholar

12. Hartl, D.L., and Clark, A.G. (1997) “Principles of Population Genetics”, 3rd edn. Sinauer Associates, Inc, Sunderland, MA.
Google Scholar

13.  Hetzel, D.J.S. and Drinkwater, R.D. (1992) “The use of DNA technologies for the conservation and improvement of animal genetic resources,” FAO Expert Consultation on the Management of Global Animal Genetic Resources, Rome.
Google Scholar

14. Holsinger, K.E., and Weir, B.S. (2009) “Genetics in geographically structured populations: defining, estimating and interpreting FST,” Nat Rev Genet., 10 (9): 639—650.
PublisherGoogle Scholar

15. Ibeagha-Awemu, E.M., and Erhardt, G. (2005) “Genetic structure and differentiation of 12 African Bos indicus and Bos taurus cattle breeds inferred from protein and microsatellite polymorphisms. J. Anim. Breed. Genet., 122: 12-20.
PublisherGoogle Scholar

16. Ibeagha-Awemu, E.M., Jann, O.C., Weimann, C., and Erhardt, G. (2004) “Genetic diversity, introgression and relationships among West/Central African cattle breeds,” Genet. Sel. Evol., 36(6): 673-690.
PublisherGoogle Scholar

17. Ibeagha-Awemu, E.M. and Erhardt, G. (2006) “An evaluation of genetic diversity indices of the Red Bororo and White Fulani cattle breeds with different molecular markers and their implications for current and future improvement options,” Trop. Anim. Health Prod., 38(5):431-441.
PublisherGoogle Scholar

18. ISAG (2012) “ International Society of Animal Genetics, Recommendations for Cattle Molecular Markers and Parentage Testing Workshop, July 19, Cairns. Australia.

19. Jordana, J., Alexandrino, P., Beja-Pereira, A., Bessa, I., Cañón, J., Carretero, Y., Dunner, S., Laloë, D., Moazami-Goudarzi, K., Sánchez, A., and Ferrand, N. (2003) “ Genetic structure of eighteen local South European beef cattle breeds by comparative F statistic analysis,” J. Anim. Genet., 120: 73-87.
PublisherGoogle Scholar

20. Joshi, N.R., McLaughlin, E.A., and Phillips, R.W. (1957) “Types and breeds of. African Cattle,” Food and Agriculture Organization (FAO) Agricultural Study No. 37. FAO. Rome.
Google Scholar

21.  Kale, D.S., Rank, D.N., Joshi, C.G., Yadav, B.R., Koringa, P.G., Thakkar, K.M., Tolenkhomba, T.C., and Solanki, J.V. (2010) “ Genetic diversity among Indian Gir, Deoni and Kankrej cattle breeds based on microsatellite markers,” Indian J. Biotechnol., 9: 126-130.
Google Scholar

22. Kalinowski, S.T. (2002) “How many alleles per locus should be used to estimate genetic distances? ,” Heredity, 88: 62-65.
PublisherGoogle Scholar

23. Karthickeyan, S.M.K., Kumarasamy, P., Sivaselvam, S.N., Saravanan, R. and Thangaraju, P. (2007) “Analysis of microsatellite markers in Ongole breed of cattle,” Indian J of Biotechnology, 7: 113-116. 

24. Kimura, M., and Crow, J.F., (1964) “The number of alleles that can be maintained in a finite population,” Genetics, 68: 47.
Google Scholar

25. Kumar, S., Gupta, J., Kumar, N., Dikshit, K., Navani, N., Jain, P., and Nagarajan, M.  (2006) “Genetic variation and relationships among eight Indian reverie buffalo breeds,” Mol. Ecol., 15: 593-600.
PublisherGoogle Scholar

26. Kunene, N., Nesamvuni, E.A., and Fossey, A. (2007) “Characterization of Zulu (Nguni) sheep using linear body measurements and some environmental factors affecting these measurements,” S. Afr. J. Anim. Sci., 37: 11-20.

27. Lenstra, J.A., Groeneveld, L.F., Eding, H., Kantanen, J., Williams, J.L., Taberlet, P., Nicolazzi, E.L., Solkner, J., Simianer, H., Ciani, E.; Garcia, J.F., Bruford, M.W., Ajmone-Marsan, P., and Weigend, S. (2012) “Molecular tools and analytical approaches for the characterization of farm animal genetic diversity,” Anim. Genet., 43: 483-502.
PublisherGoogle Scholar

28. Loftus, R.T., Ertugrul, O., Harba, A.H., El-Barody, M.A., MacHugh, D.E., Park, S.D., and Bradley, D.G. (2002) “A microsatellite survey of cattle from a centre of origin: the Near East,” Mol. Ecol., 8(12): 2015-2022.

29. Marshall, F. (2000) “The Origins and Development of African Livestock: Archaeology, Genetics,” Linguistics and Ethnography, R. M. Blench, K. C.

30. MacHugh, D.E., Shriver, M.D., Loftus, R.T., Cunningham, P. and Bradley, D.G. (1997) “Microsatellite DNA variation and the evolution, domestication and phylogeography of taurine and zebu cattle (Bos taurus and Bos indicus) ,” Genetics, 146(3): 1071-1086.
Google Scholar

31. McHugh, D.E., Loftus, R.T., Cunningham, P., and Bradley, D.G. (1998) “Genetic structure of seven European cattle breeds assessed using 20 microsatellite markers,” Anim. Genet., 29: 333-340.
Google Scholar

32. Medugorac, I., Medugorac, A., Russ, I., Veit-Kensch, C.E., Taberlet, P., Lunty, B., Mix, H.M., and Forster, M. (2009)“Genetic diversity of European cattle breeds highlights the conservation value of traditional unselected breeds with high effective population size,” Mol. Ecol., 18: 3394-3410.
PublisherGoogle Scholar

33.  Medugorac, I., Veit-Kensch, C.E., Ramljak, J., Brka, M., Marković, B., Stojanović, S., Bytyqi, H., Kochoski, L., Kume, K., Grünenfelder, H.P., Bennewitz, J., and Förster, M. (2011) “Conservation priorities of genetic diversity in domesticated metapopulations: a study in taurine cattle breeds,” Ecol Evol., 1(3):408-420.
Publisher Google Scholar

34.  Metta, M., Kanginakudru, S., Gudiseva, N., and Nagaraju, J. (2004) “Genetic characterization of the Indian cattle breeds, Ongole and Deoni (Bos indicus), using microsatellite markers-A preliminary study,” BMC Genetics, 5: 5-16.
PublisherGoogle Scholar

35. Moioli, B., Georgoudis, A., Napolitano, F., Catillo, G., Giubilei, E., Ligda, Ch., and Hassanane, M.  (2001) “Genetic diversity between Italian, Greek and Egyptian buffalo populations,” Livestock Prod. Sci., 7(3): 203-211.
PublisherGoogle Scholar

36. Mukesh, M., Sodhi, M., Bhatia, S., and Mishra, B.P. (2004) “Genetic diversity of Indian native cattle breeds as analyzed with 20 microsatellite loci,” J Anim. Breed. Genet., 121: 416—424.
Publisher Google Scholar

37.   Nei, M. (1972) “ Genetic distance between populations,” Am. Nat., 106: 283—292.
Google Scholar

38. Nei, M., Tajima, F., and Tateno, Y. (1983) “Accuracy of estimated phylogenetic trees from molecular data,” J. Mol. Evol., 19: 153—170.
PublisherGoogle Scholar

39.  Okomo-Adhiambo, M. (2002) “Characterization of genetic diversity in indigenous cattle of East Africa: Use of microsatellite DNA techniques,” ILRI. Nairobi, Kenya.
Google Scholar

40. Pandey, A.K., Sharma, R., Singh, Y., Prakash, B.B. and Ahlawat, S.P.S. (2006) “Genetic diversity studies of Kherigarh cattle based on microsatellite markers,”  J. Genet., 85: 117—122.
PublisherGoogle Scholar

41. Payne, W.J.A. (1970) “Cattle production in the tropics,” Volume1: Breeds and breeding. London, UK, Longman.
Google Scholar

42. Rehman M.S., and Khan, M.S. (2009) “Genetic Diversity of Hariana And Hissar Cattle From Pakistan Using Microsatellite Analysis,” Pakistan Vet. J., 29(2): 67-71.
Google Scholar

43. Rogić, B., Tomić, L., Važić, B., Jelić, M., Jovanović, S., and Savić, M. (2011) “Assessment Of Genetic Diversity Of Buša Cattle From Bosnia and Herzegovina Using Microsatellite Dna Markers,” Arch. Biol. Sci., Belgrade, 63 (4): 1077-1085.
PublisherGoogle Scholar

44. Saeed, A. (2010) “Sudan report: Challenges Facing Sudan after Referendum Day 2011, Persistent and Emerging Conflict in the North-South Borderline States,” Issued by: Chr. Michelsen Institute (CMI), the Institute of Peace Studies at the University of Khartoum and Al Ahfad University for Women.

45. Sambrook, J., Fritsch, E.F., and Maniatis, T. (1989) “Molecular Cloning—A Laboratory Manual,” Cold Spring Harbor Laboratory Press.

46. Slatkin, M. (1985) “Gene flow in natural populations,” Ann. Rev. Ecol. Syst., 16: 393-430.
PublisherGoogle Scholar

47. Soule, M. (1987) “Viable populations for conservation,” Cambridge University press, Cambridge.
Publisher Google Scholar

48. Sodhi, M., Mukesh, M., Mishra, B.P., Ahlawat, S.P.S., Prakash, B., and Sobti, R.C. (2011) “Microsatellite analysis of genetic population structure of Zebu cattle (Bos indicus) breeds from North-Western region of India,” Anim. Biotech., 22: 16—29.
PublisherGoogle Scholar

49. Sharma, R, Pandey, A.K., Singh, Y., Prakash, B., and Ahlawat, S.P.S. (2006) “Assessment of genetic variability in Ganagtiri cattle by microsatellite marker,” Korean J of Genet., 28(1) 35-42.
Google Scholar

50. Sharma, R., Pandey, A.K., Singh, S.C.P., Singh, Y., Mishra, B.P., Singh, S.R., Mandal, G.K., Sngh, P.K., Singh, G. and Ahlawat, S.P.S. (2007) “Diversity assessment of Bachaur cattle from India: A draft breeds still relevant in mechanized Era,” Korean J of Genet., 29(3) 369-378.
Google Scholar

51. Takezaki, P.J., and Nei, M. (1996) “Genetic distances and reconstruction of phylogenetic tree from microsatellite DNA,” Genetics, 144: 389-399.
Google Scholar

52. Weir, B.S. (1990) “Genetic Data Analysis: Methods for Discrete Population Genetic Data,” Sinauer Associates, Inc. Sunderland, Massachusetts.
Google Scholar

53. Weir, B.S., and Cockerham, C.C. (1984) “Estimating F-statistics for the analysis of population structure,” Evolution, 38: 1358—1370.
Google Scholar

54.  Wright, S. (1951) “The genetic structure of populations,” Ann. Eugen., 15: 323—354.

55. Wright, S. (1978) “Evolution and the genetics of population. Variability Within and Among Natural Population,” vol. 4. University of Chicago Press, Chicago, IL.

56. WSRMP (2011) “Western Sudan Resource Management Program, International Fund for Agricultural Development: Livestock Breed Characterizations Study.

57. Yeh, F.C., Boyle, T., Rongcai, Y., Ye, Z., and Xian, J.M. (1999) “POPGENE, Version 1.31. A Microsoft Window Based Free Ware for Population Genetic Analysis,” University of Alberta, Edmonton.

58. Yousif, I.A. and Fadl El- Moula, A.A. (2006) “Characterization of Kenana cattle breed and its Production Environment,” AGRI, 38: 47-56.

Shares